• Предмет: Геометрия
  • Автор: Аноним
  • Вопрос задан 10 лет назад

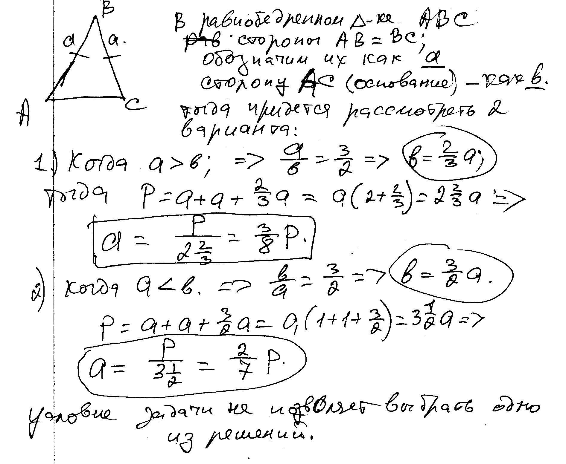
Найдите стороны равнобедренного треугольника если отношение двух из них равно 3:2,а периметр равен P.

Ответы

Ответ дал: ужнеужели
0
решение в скане.......
Приложения:
Ответ дал: Аноним
0
В окружности проведена хорда равная радиусу окружности. Найдите углы треугольника с вершинами в концах хорды и в центре окружности. РЕШИ ЕЩЕ ВОТ ЭТО ПОЖАЛУЙСТА
Вас заинтересует