Ответы
Ответ дал:
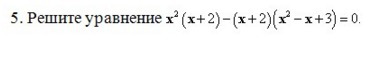
0
(х +2) (х^2 - x^2 +x - 3) = 0
(x + 2)(x - 3) = 0
x^2 - x - 6 = 0
D = 25, уравнение имеет 2 корня
х1 = 3
х2 = -2
(x + 2)(x - 3) = 0
x^2 - x - 6 = 0
D = 25, уравнение имеет 2 корня
х1 = 3
х2 = -2
Вас заинтересует
2 года назад
8 лет назад
8 лет назад
10 лет назад
10 лет назад
10 лет назад
10 лет назад