• Предмет: Алгебра
  • Автор: netschool
  • Вопрос задан 11 лет назад

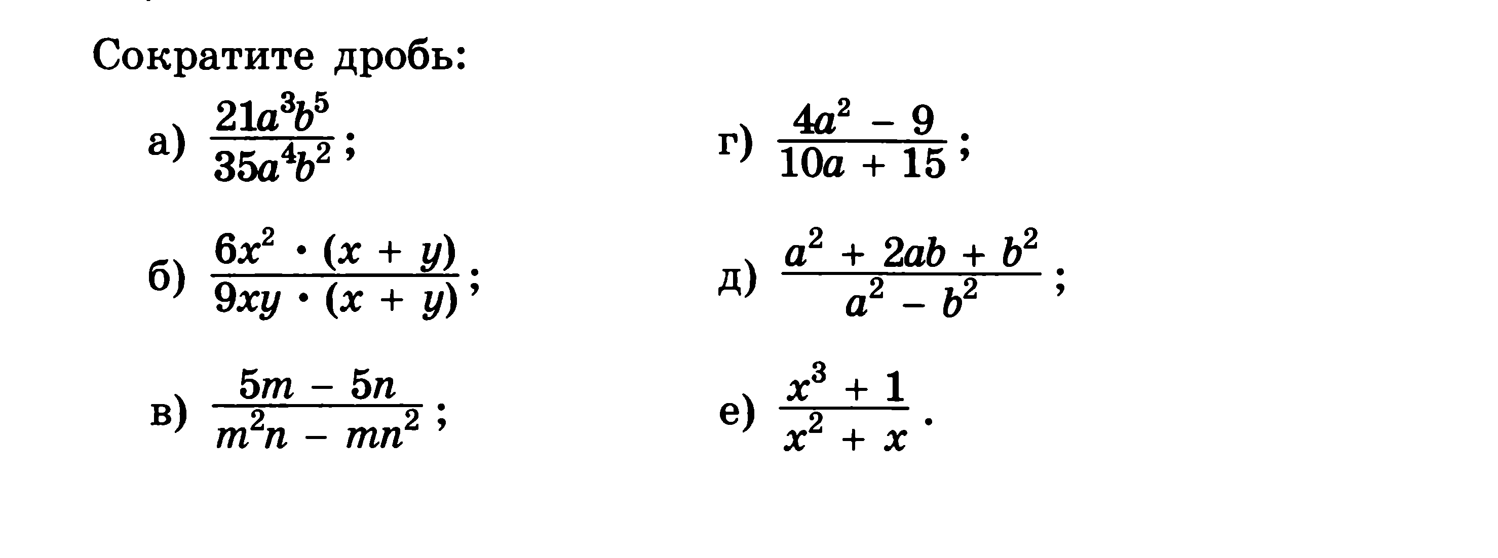
Сократите алгеброические дроби

Приложения:

Ответы

Ответ дал: sOyss
0

a) 21а^3b^5/35a^4b^2 = 21b/35a

б) 6x^2 (x +y)/ 9xy (x+y)= 2x/3y

в) 5m - 5n / m^2n - mn^2 = 5 (m-n)/ mn (m-n)= 5/ mn

г) 4a^2 - 9/10a + 15 = (2a-3) (2a+3) / 5(2a+3)= 2a-3/ 5

д)a^2 + 2ab + b^2/ a^2-b^2 = (a+b)^2 /(a-b)(a+b)= a+b / a-b

e) x^3 + 1 / x^2 + x = (x+1) (x^2 -x +1)/x(x+1)=x^2-x+1/ x

Вас заинтересует