• Предмет: Алгебра
  • Автор: евгеша0071
  • Вопрос задан 10 лет назад

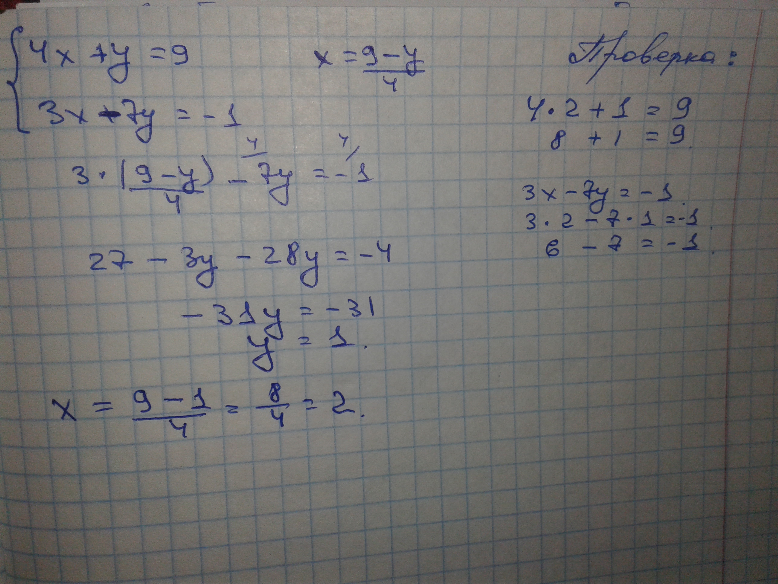
решите систему уравнений 4х+у=9 3х-7у=-1
Помогите!!!

Ответы

Ответ дал: светлана128
0
надеюсь разберете подчерк!)
Приложения:
Вас заинтересует