• Предмет: Алгебра
  • Автор: Анастэйжа
  • Вопрос задан 10 лет назад

Помоги решить,пожалуйста

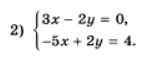
Приложения:

Ответы

Ответ дал: arslan7171
0
методом сложения двух уравнений -2х=4
х=-2
3*(-2)-2у=0
-2у=6
у=-3
Ответ дал: Анастэйжа
0
нужно графически.с помощью графика
Ответ дал: Аиинка
0
-2x=4; x=4:(-2); x=-2; 3*(-2)-2y=0; -2y=6; y=6:(-2); y=-3
Ответ дал: Аиинка
0
Если графически, то нарисуй 2 прямые с координатами: первая прямая—(0;0) (1;1,5), вторая прямая—(0;2) (1;-0,5)
Вас заинтересует