• Предмет: Алгебра
  • Автор: ввлоаоклбчбвлао
  • Вопрос задан 10 лет назад

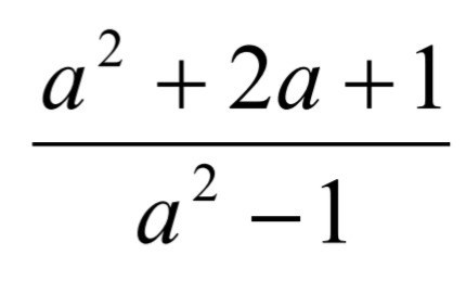
сократите дробь и найдите его значение при а=0,5

Приложения:

Ответы

Ответ дал: nastyammrrr
0
(a+1)^2/(a-1)(a+1)= a+1/a-1=0,5+1/0,5-1=1,5/-0,5=-3
Вас заинтересует