Ответы
Ответ дал:
0
Задача 16
1) 18,18 * (-9) = -163,62
2) -28,18 * (-9) = +254,62 ( плюс можно не писать)
3 -163,62 + 254,62 + 10 = 100
Ответ : 2
Задача 17
1) -2,5 * (-1,6) = 4
2) 41,6 / (-40) = -1,04
3) 4 - 1,04 = 2,96
Ответ : 4
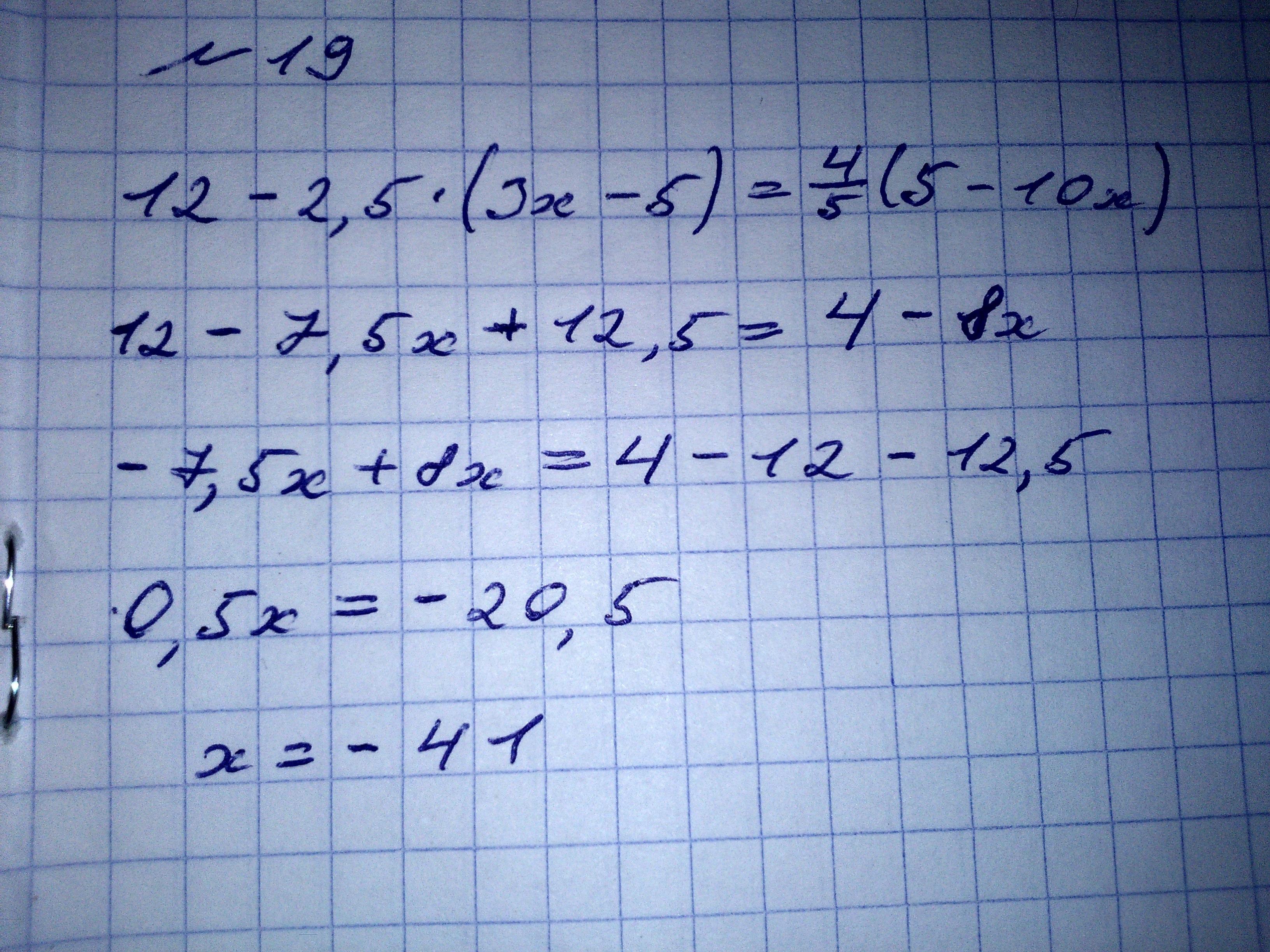
Задача 18
4*(2,3 - 2x) -2,4*(x+1,5)=
9,2-8x-2,4x-3,6=
5,6-10,4x
1) 18,18 * (-9) = -163,62
2) -28,18 * (-9) = +254,62 ( плюс можно не писать)
3 -163,62 + 254,62 + 10 = 100
Ответ : 2
Задача 17
1) -2,5 * (-1,6) = 4
2) 41,6 / (-40) = -1,04
3) 4 - 1,04 = 2,96
Ответ : 4
Задача 18
4*(2,3 - 2x) -2,4*(x+1,5)=
9,2-8x-2,4x-3,6=
5,6-10,4x
Приложения:


Ответ дал:
0
Всё ? Я молодец ?
Ответ дал:
0
да а то
Ответ дал:
0
что то ещё?
Ответ дал:
0
нет
Ответ дал:
0
все спасибо
Вас заинтересует
2 года назад
2 года назад
7 лет назад
7 лет назад
9 лет назад
10 лет назад