помогите пожалуйста. завтра контролка по алгебре срочно !!!!!!!!!!!!!!!!!!!!!!!!!!!!!!!!!!!надо!!!!!!!!!!!!!!!!!!!!!!!!!!!!!!!!!!!!!!!!!!!!!!!!!!!!!!!!!!!!!!!!!!!!!!!!!!!!!!!!!!!!!!!!!!!!!!!!!!!!!!!!!!!!!!!!!!!!!!!!!!!!!!!!!!!!!!!!!!!!!!!!!!
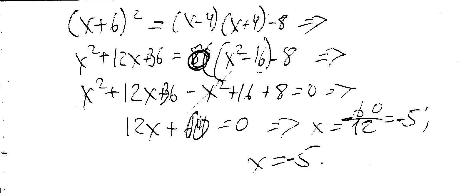
1) решите уравнение:(x+6)в квадрате =(x-4)(x+4)-8
2)сократить дробь:y-в квадрате - 9y-в квадрате
-------------------------------------------
18x-в квадрате-6xy
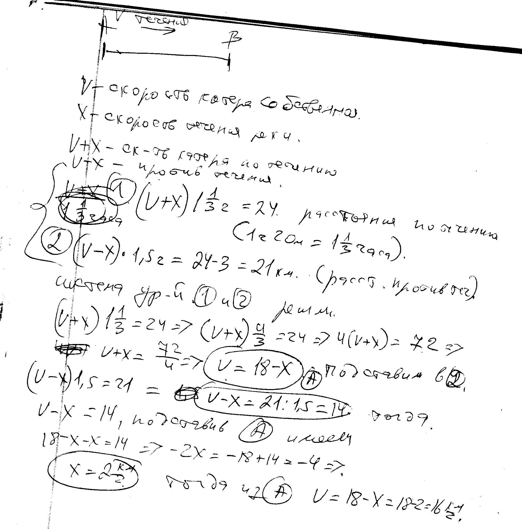
3) решите задачу я вас умоляю:Катер за 1 час 20 минут проплывает по течению реки 24 км,а против течения за 1,5 ч на 3 км меньше,найдите скорость течения реки и собственную скорость катера
помогите пожалуйста даю 35 Б
Ответы
Ответ дал:
0
1)
(x+6)²=(x-4)(x+4)-8
x²+12x+36=x²-16-8
12x+60=0 |(:12)
x+5=0
x= -5
2)



3)
(x+6)²=(x-4)(x+4)-8
x²+12x+36=x²-16-8
12x+60=0 |(:12)
x+5=0
x= -5
2)
3)
Скорость по течению: 24/80*60=18км/ч
Скорость против течения: 21(т.к. на 3 км. меньше)/90*60=14км/час
Скорость катера 18+14/2=16км/час
Отсюда следует, что скорость реки 2км/час.
Ответ дал:
0
спасибо огромное вы меня выручили
Ответ дал:
0
Вторая задачка невнятна.
Приложения:
Вас заинтересует
2 года назад
2 года назад
8 лет назад
8 лет назад
10 лет назад
10 лет назад
10 лет назад
10 лет назад