• Предмет: Алгебра
  • Автор: Андрей2001111
  • Вопрос задан 10 лет назад

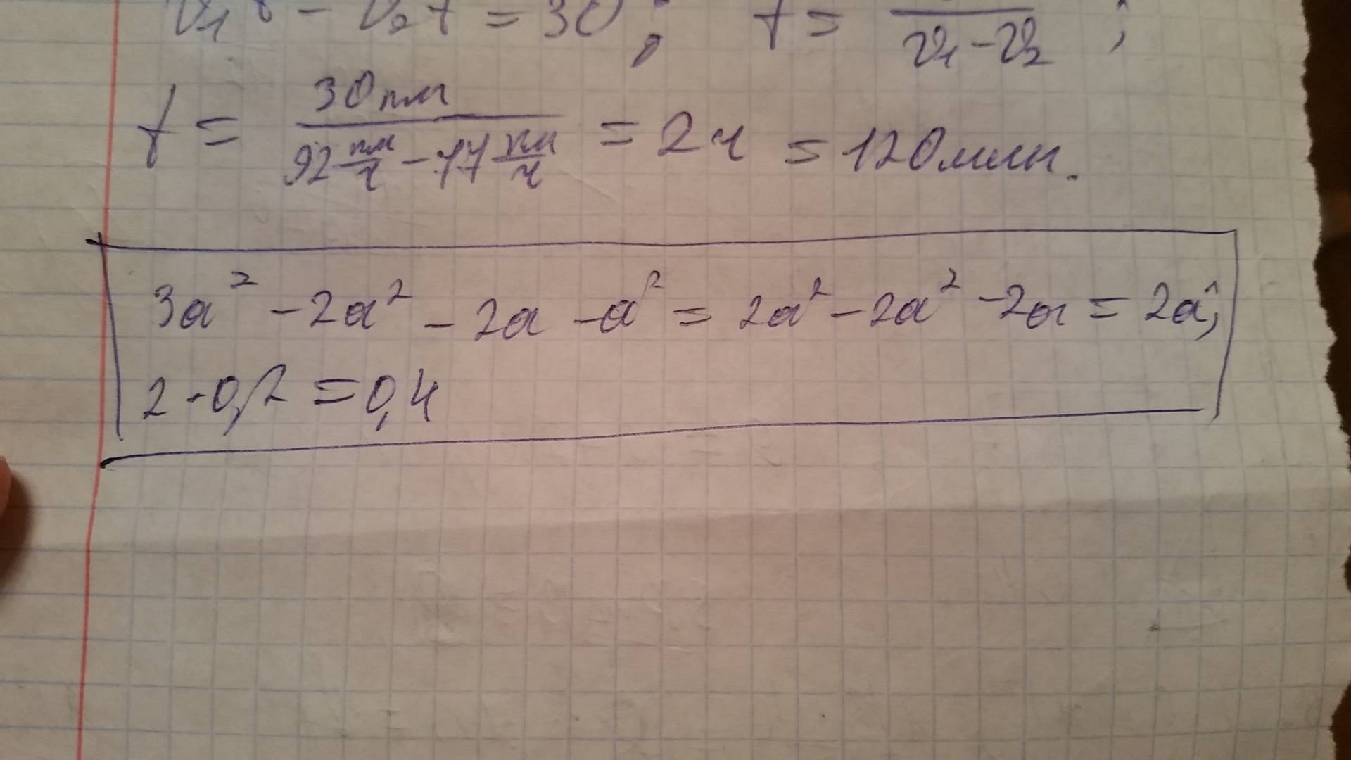
Упростите выражение и найдите его значение при a=0,2

Приложения:

Ответы

Ответ дал: yurasedyolkin
0
Решение в рамке, сверху другая задача. Эх, там в знаке ошибка, упростится до -2а, а при подстановке 0,2 выйдет -0,4
Приложения:
Вас заинтересует