Ответы
Ответ дал:
0
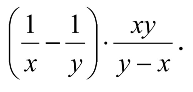
1) (1/х - 1/у) приводим к одному знаменателю
(у/ху-х/ху) то есть
у-х/ху
2) (у-х/ху)*(ху/у-х) сокращается
Ответ: 1
(у/ху-х/ху) то есть
у-х/ху
2) (у-х/ху)*(ху/у-х) сокращается
Ответ: 1
Вас заинтересует
2 года назад
2 года назад
8 лет назад
10 лет назад
10 лет назад
10 лет назад
10 лет назад