• Предмет: Математика
  • Автор: ками951
  • Вопрос задан 10 лет назад

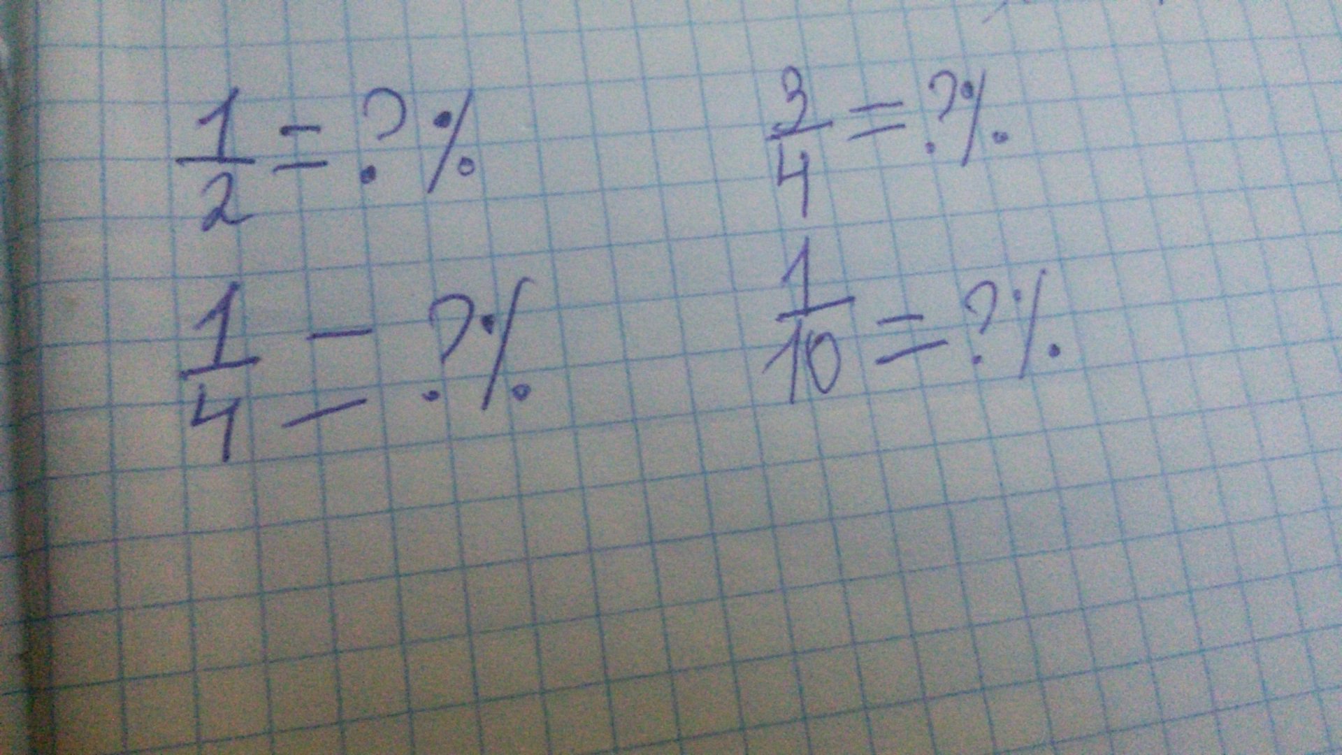
сколько процентов каждоя дробь?

Приложения:

Ответы

Ответ дал: marishecka
0
1|2=5|10=0,5=50% или 5 % 1|4=25|100=0,25=25% 3|4=75|100=0,75=75% 1|10=0,1=1% по-моему так?!?
Ответ дал: ками951
0
а можно понятнее без обид :-)
Ответ дал: Donna121
0
1/2=50%
1/4=25%
3/4=75%
1/10=10%
Вас заинтересует