Ответы
Ответ дал:
0
.......................
Приложения:

Ответ дал:
0
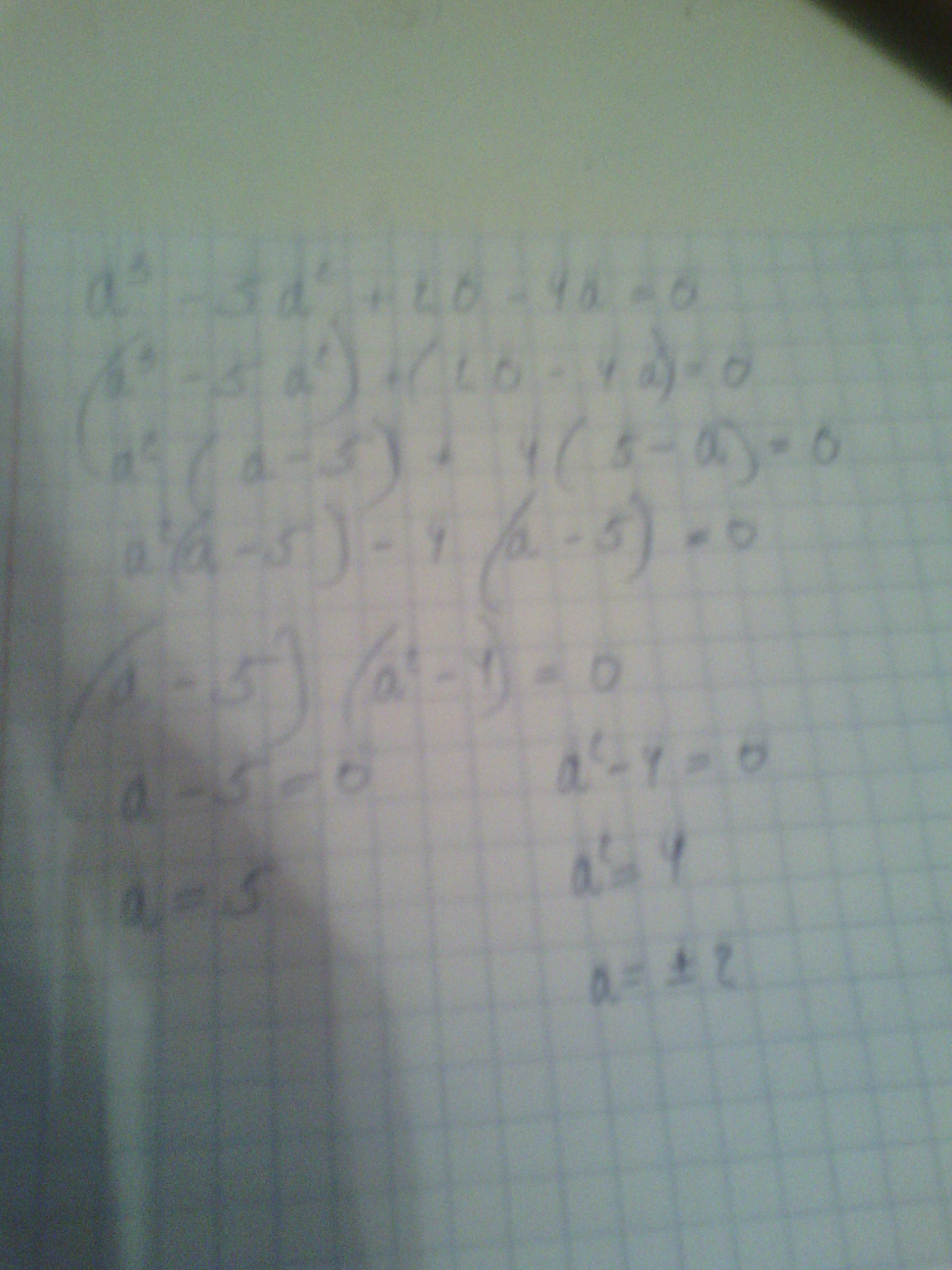
(a³-5a²) +4(5 -a) =0
a²(a -5) -4(a -5) =0
(a -5)(a² -4) =0
a -5 =0, a =5
a² -4 =0, (a -2)(a +2) =0
a -2 =0, a =2
a +2 =0, a= -2
ответ: a= -2, a =2, a =5
a²(a -5) -4(a -5) =0
(a -5)(a² -4) =0
a -5 =0, a =5
a² -4 =0, (a -2)(a +2) =0
a -2 =0, a =2
a +2 =0, a= -2
ответ: a= -2, a =2, a =5
Приложения:

Вас заинтересует
2 года назад
2 года назад
7 лет назад
9 лет назад
9 лет назад