Ответы
Ответ дал:
0
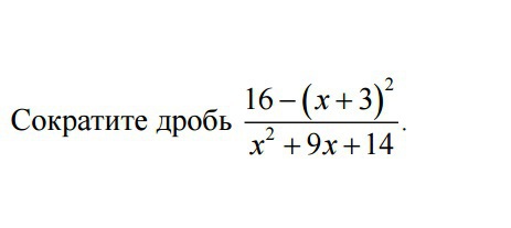
1) разложим числитель на множители:
16 -(x +3)² =(4 -(x+3))(4 +(x+3)) =(4 -x -3)(4 +x +3) =(1 -x)(x +7)
разложим знаменатель на множители :
x² +9x +14 =(x +7)(x +2)
дробь:
(1 -x)(x +7) /(x +7)(x +2) =(1 -x) /(x +2)
ответ: (1 -x) /(x +2)
16 -(x +3)² =(4 -(x+3))(4 +(x+3)) =(4 -x -3)(4 +x +3) =(1 -x)(x +7)
разложим знаменатель на множители :
x² +9x +14 =(x +7)(x +2)
дробь:
(1 -x)(x +7) /(x +7)(x +2) =(1 -x) /(x +2)
ответ: (1 -x) /(x +2)
Вас заинтересует
2 года назад
2 года назад
8 лет назад
8 лет назад
10 лет назад
10 лет назад