Ответы
Ответ дал:
0
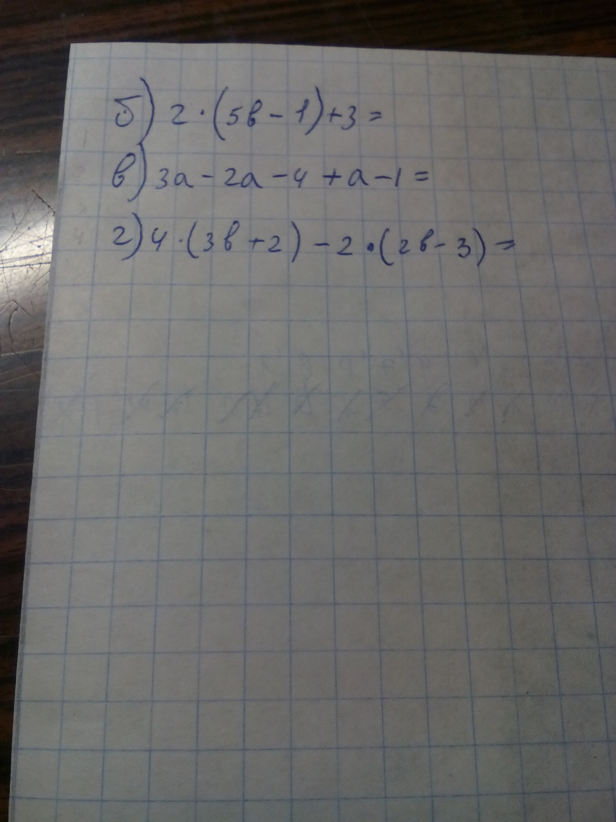
б)раскрываем скобки
2(5в-1)+3=10в-2+3=10в-1
в)просто считаем
3а-2а-4+а-1
3а-2а+а=2а
-4-1=-5,значит в ответ 2а-5
г)раскрываем скобки
4(3в+2)-2(2в-3)=12в+8-4в+6
12в-4в=8в
8+6=14,значит в ответе 8в+14
2(5в-1)+3=10в-2+3=10в-1
в)просто считаем
3а-2а-4+а-1
3а-2а+а=2а
-4-1=-5,значит в ответ 2а-5
г)раскрываем скобки
4(3в+2)-2(2в-3)=12в+8-4в+6
12в-4в=8в
8+6=14,значит в ответе 8в+14
Ответ дал:
0
спасибо большое !
Ответ дал:
0
всегда пожалуйста!
Вас заинтересует
3 года назад
8 лет назад
8 лет назад
10 лет назад
10 лет назад
10 лет назад