Ответы
Ответ дал:
0
Решение.
Для решения данного задания необходимо уметь решать показательные уравнения и знать их свойства.
Имеем :
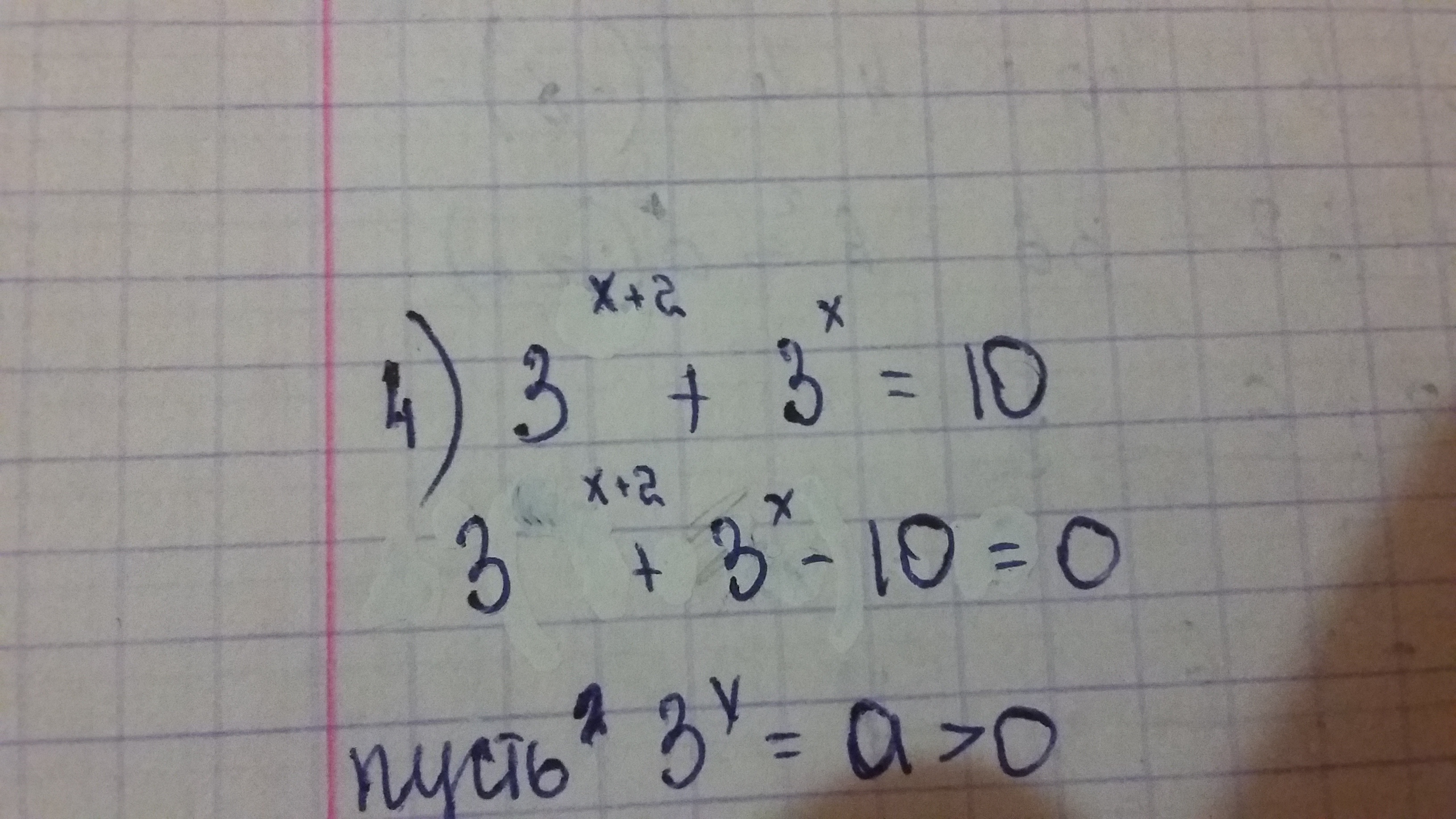
3^(x+2) + 3^x = 10
3^x * 3^2 + 3^x = 10
3^x * (9 + 1) = 10
3^x * 10 = 10
3^x = 1
3^x = 3^0
x = 0
Ответ : x = 0 - решение данного уравнения.
Для решения данного задания необходимо уметь решать показательные уравнения и знать их свойства.
Имеем :
3^(x+2) + 3^x = 10
3^x * 3^2 + 3^x = 10
3^x * (9 + 1) = 10
3^x * 10 = 10
3^x = 1
3^x = 3^0
x = 0
Ответ : x = 0 - решение данного уравнения.
Вас заинтересует
2 года назад
2 года назад
8 лет назад
10 лет назад
10 лет назад
10 лет назад