• Предмет: Математика
  • Автор: енот108
  • Вопрос задан 10 лет назад

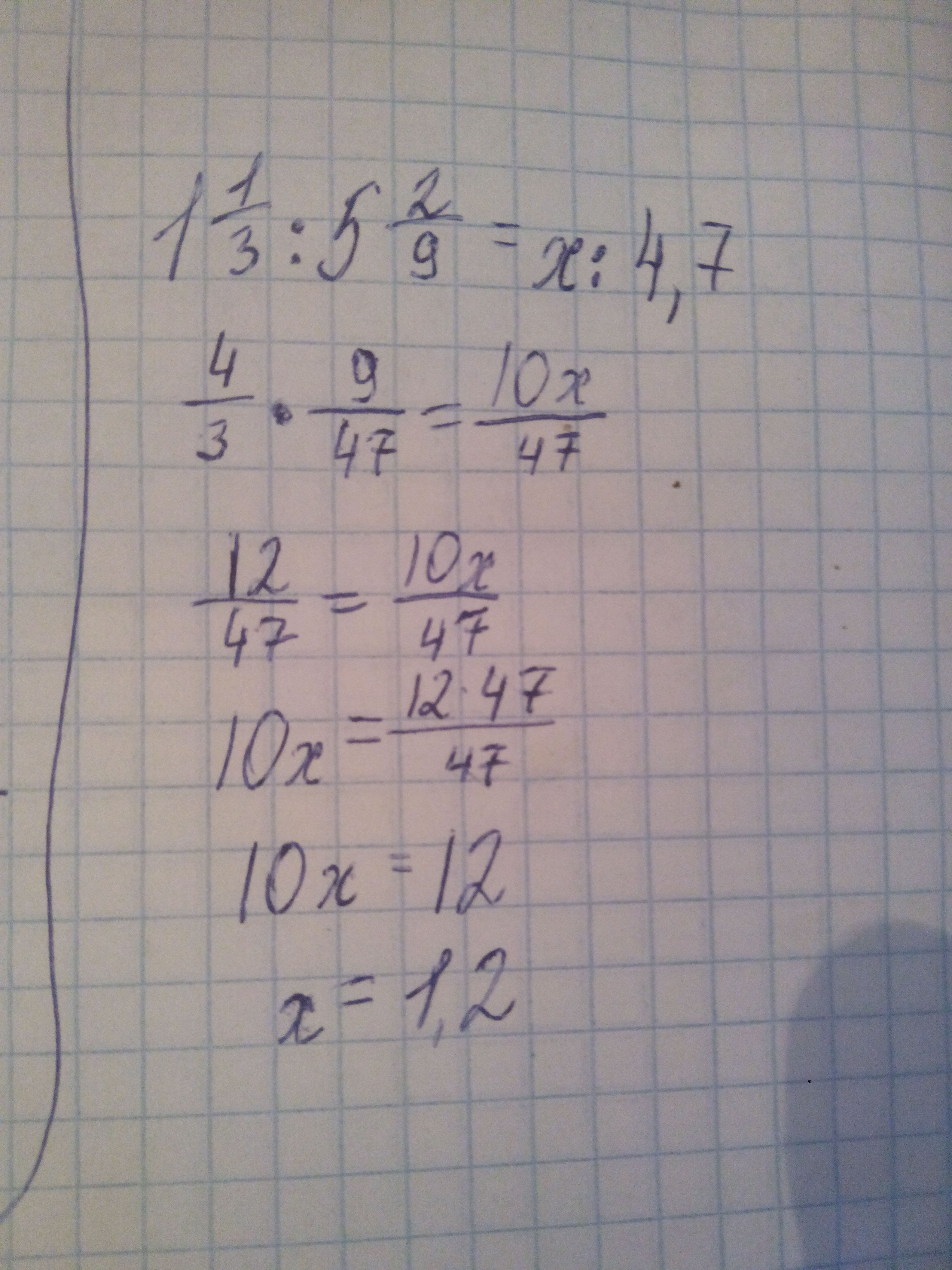
решите уравнение: 1 целая 1/3 : 5 целых 2/9=х:4,7

Ответы

Ответ дал: дар99
0
так будет .............б
Приложения:
Вас заинтересует