• Предмет: Алгебра
  • Автор: iluasowalena
  • Вопрос задан 10 лет назад

Помогите пожалуйста) Очень надо! ♥

Приложения:

Ответы

Ответ дал: Dushzhanov987
0
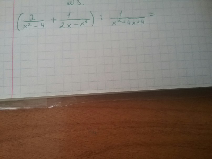
( frac{2}{x^2-4} + frac{1}{2x-x^2} ): frac{1}{x^2+4x+4}=\( frac{2}{(x-2)(x+2)}- frac{1}{x(x-2)}  ): frac{1}{(x+2)^2} = \( frac{2x-(x+2)}{x(x-2)(x+2)} )*(x+2)^2=\ frac{(x+2)(x+2)^2}{x(x-2)(x+2)} = frac{(x+2)^2}{x(x-2)}
Ответ дал: iluasowalena
0
вауууу,,,спасиииибо,а то я уже 2 день ищу...)))))
Вас заинтересует