Ответы
Ответ дал:
0
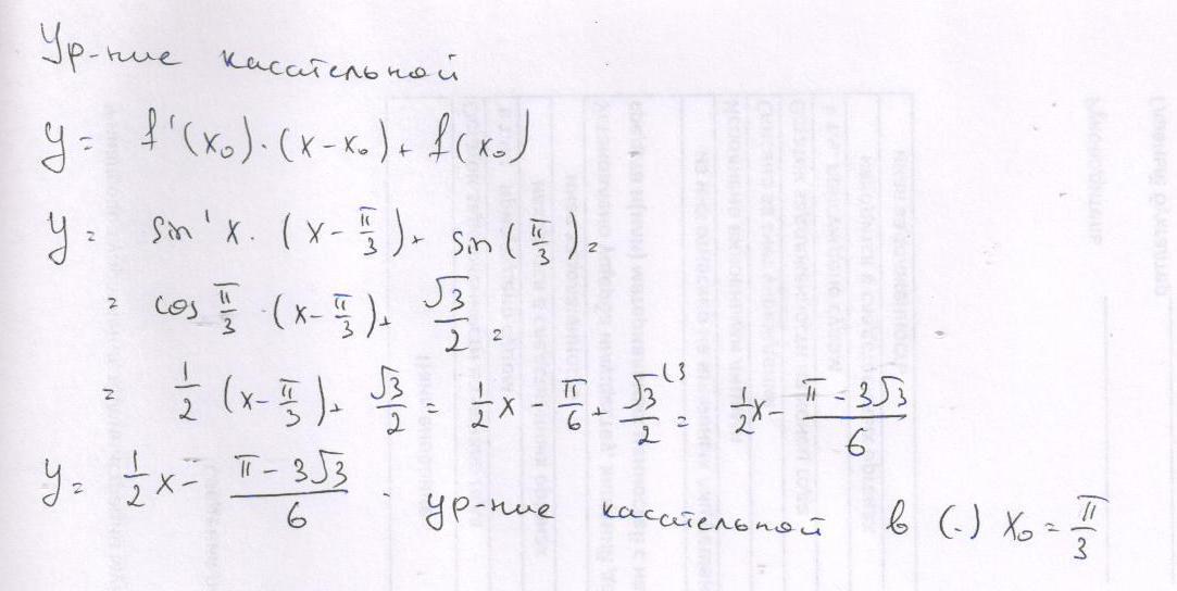
y=sinx
y(π/3)=sinπ/3=√3/2
y'=cosx
y'(π/3)=cosπ/3=1/2
y=√3/2 + 1/2 (x- π/3)=√3/2 + ¹/₂ x - (π/6)= 0.5x + √3/2 - π/6
y= 0.5x + √3/2 - π/6 - уравнение касательной.
y(π/3)=sinπ/3=√3/2
y'=cosx
y'(π/3)=cosπ/3=1/2
y=√3/2 + 1/2 (x- π/3)=√3/2 + ¹/₂ x - (π/6)= 0.5x + √3/2 - π/6
y= 0.5x + √3/2 - π/6 - уравнение касательной.
Ответ дал:
0
см. вложение
\\\\\\\\\
\\\\\\\\\
Приложения:
Вас заинтересует
3 года назад
3 года назад
8 лет назад
10 лет назад
10 лет назад
10 лет назад