• Предмет: Алгебра
  • Автор: GottaGoFast
  • Вопрос задан 10 лет назад

(Решать подробно)(7 класс)
Решите уравнения:
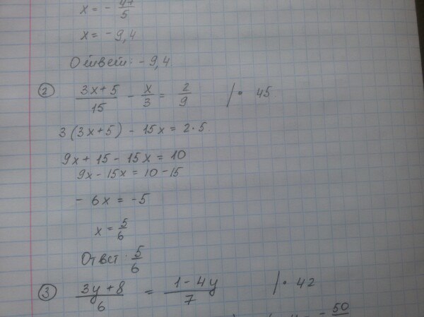
frac{2x-7}{3} =  frac{5x+4}{5} ;<br />
frac{3x+5}{15} -  frac{x}{3} =  frac{2}{9} ;<br />
frac{3y+8}{6} =  frac{1-4y}{7} ;<br />
frac{4y}{3} -  frac{5y+4}{12} = -2frac{5}{8} <br />

Ответы

Ответ дал: Ртуть3
0
Вроде,так...................
Приложения:
Ответ дал: GottaGoFast
0
Спасибо большое
Вас заинтересует