Ответы
Ответ дал:
0
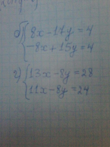
1) {8х-17у=4
{-8х+15у=4
-2у=8
у=-4
-8х-60=4
-8х=64
х=-8
2) {13х-8у=28 /х(-1)
{11х-8у=24
{-13х+8у=-28
{11х-8у=24
-2х=-4
х=2
22-8у=24
-8у=2
у=-2/8=-1/4
{-8х+15у=4
-2у=8
у=-4
-8х-60=4
-8х=64
х=-8
2) {13х-8у=28 /х(-1)
{11х-8у=24
{-13х+8у=-28
{11х-8у=24
-2х=-4
х=2
22-8у=24
-8у=2
у=-2/8=-1/4
Вас заинтересует
2 года назад
2 года назад
8 лет назад
8 лет назад
10 лет назад
10 лет назад