Ответы
Ответ дал:
0
5x-5-3x-6=-5x
5x-3x+5x=6+5
-3x=11
x=-11/3
5x-3x+5x=6+5
-3x=11
x=-11/3
Ответ дал:
0
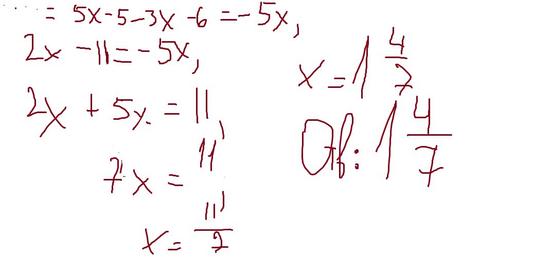
На фото ответ)
Поставь как лучший))
Пж)
УДачиии
Поставь как лучший))
Пж)
УДачиии
Приложения:
Вас заинтересует
3 года назад
3 года назад
8 лет назад
8 лет назад
10 лет назад
10 лет назад