• Предмет: Алгебра
  • Автор: algaponowa
  • Вопрос задан 10 лет назад

Решите пожалуйста, очень срочно нужно :с
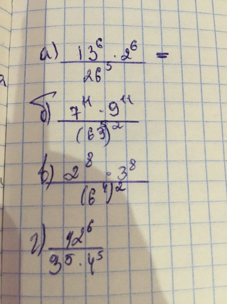
Примеры на фото.

Приложения:

Ответы

Ответ дал: vikusikvolkova0
0
а) 26 б) 63 в) 1 г) не разобрала подчерк
Ответ дал: algaponowa
0
Мне по действиям надо,а не ответы.
Ответ дал: Найт7
0
а)=26^6/26^5=26
б)=63^11/63^10=63
в)=6^8/6^8=1
г)=12^6/12^5=12
Ответ дал: Найт7
0
Спасибо.
Вас заинтересует