• Предмет: Алгебра
  • Автор: vipsergeyp347
  • Вопрос задан 10 лет назад

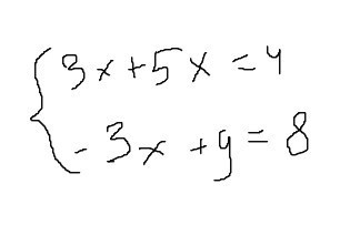
Помогите решить пожалуйста

Приложения:

Ответы

Ответ дал: MissCactus02
0
х=2
y=14

.................
Вас заинтересует