• Предмет: Математика
  • Автор: kristinap13
  • Вопрос задан 10 лет назад

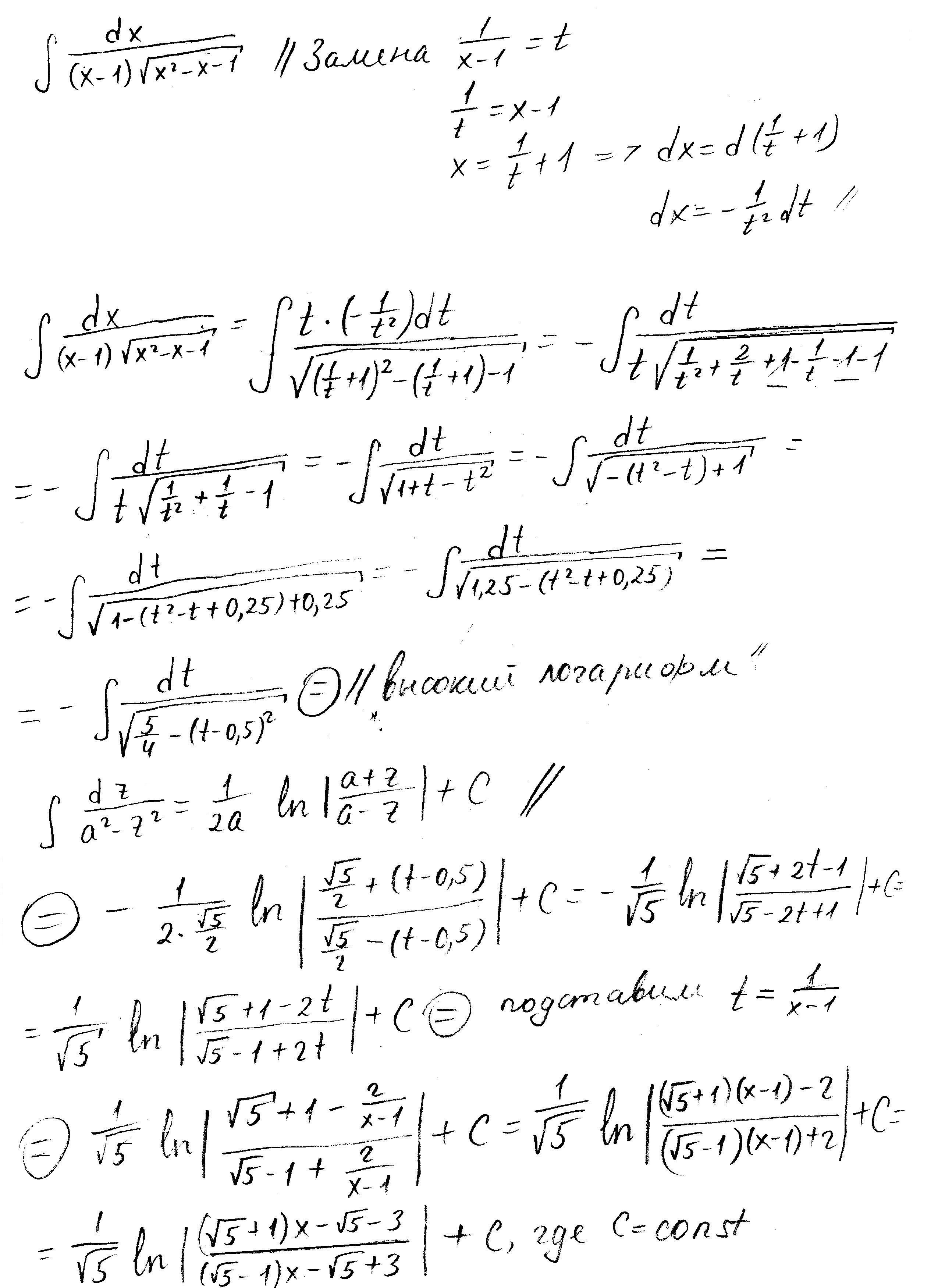
НЕопределенный интеграл, помогите, пожалуйста

Приложения:

Ответы

Ответ дал: bearcab
0
Решение в приложении
Приложения:
Ответ дал: kristinap13
0
Огромное спасибо:)
Вас заинтересует