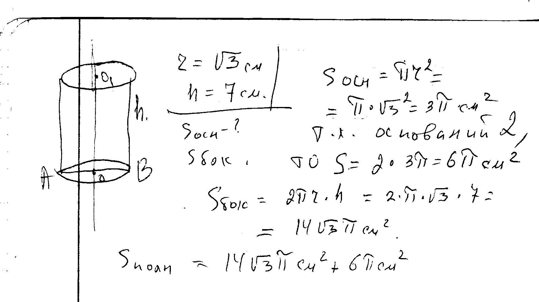
Помогите с задачей по геометрии) Дано: Дан цилиндр. r= корень из 3 см h=7 см. Найти: Sбоковую и Sполную
Ответы
Ответ дал:
0
решение в скане.......
Приложения:

Вас заинтересует
2 года назад
2 года назад
7 лет назад
9 лет назад
10 лет назад