• Предмет: Математика
  • Автор: arm007
  • Вопрос задан 11 лет назад

1)Сколько процентов числа 350 составляет число 679

                       

2)решиет уравнение

  2,5х+6,3=семь целых одна третья

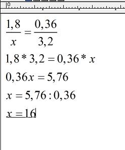
3)решите пропорцию 1,8=0,36

                                           х      3,2

   

                   

 

 

   

 

 

 

 

Ответы

Ответ дал: triolana
0

1)679:350*100=194%

=================================

 

Приложения:
Вас заинтересует