Ответы
Ответ дал:
0
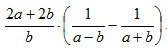
в скобках производим сложение по правилам сложения дробей, т.е. пишем общий знаменатель - (а-b)*(a+b), в числителях единицы умножаем соответственно на a+b и a-b
В числителе получаем т.о. a+b-a+b=2b
В скобках мы получаем 2b/(a-b)(a+b).
В дроби, стоящей перед скобками, в числителе вынесем 2 за скобки и получим выражение 2(a+b)/b.
Мы получили 2(a+b)/b*2b/(a-b)(a+b)
Теперь перемножаем. В процессе умножения у нас "сократятся b в знаменателе первой дроби и в числителе второй, а также (a+b) в числителе первой дроби и в знаменателе второй.
В итоге получаем 4/a-b
В числителе получаем т.о. a+b-a+b=2b
В скобках мы получаем 2b/(a-b)(a+b).
В дроби, стоящей перед скобками, в числителе вынесем 2 за скобки и получим выражение 2(a+b)/b.
Мы получили 2(a+b)/b*2b/(a-b)(a+b)
Теперь перемножаем. В процессе умножения у нас "сократятся b в знаменателе первой дроби и в числителе второй, а также (a+b) в числителе первой дроби и в знаменателе второй.
В итоге получаем 4/a-b
Вас заинтересует
3 года назад
3 года назад
8 лет назад
8 лет назад
10 лет назад
10 лет назад
10 лет назад