Ответы
Ответ дал:
0
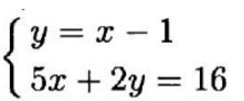
Так как y = x - 1, подставим y во второе уравнение.
5x + 2(x - 1) = 16
5x + 2x - 2 = 16
7x = 18
x = 18/7
y = 18/7 - 7/7 = 12/7
(Мне кажется что в уравнении ошибка со знаками, ибо если бы y был равен x + 1, то ответы были бы целыми числами)
5x + 2(x - 1) = 16
5x + 2x - 2 = 16
7x = 18
x = 18/7
y = 18/7 - 7/7 = 12/7
(Мне кажется что в уравнении ошибка со знаками, ибо если бы y был равен x + 1, то ответы были бы целыми числами)
Вас заинтересует
3 года назад
8 лет назад
8 лет назад
10 лет назад
10 лет назад
10 лет назад