• Предмет: Алгебра
  • Автор: Takumi96
  • Вопрос задан 10 лет назад

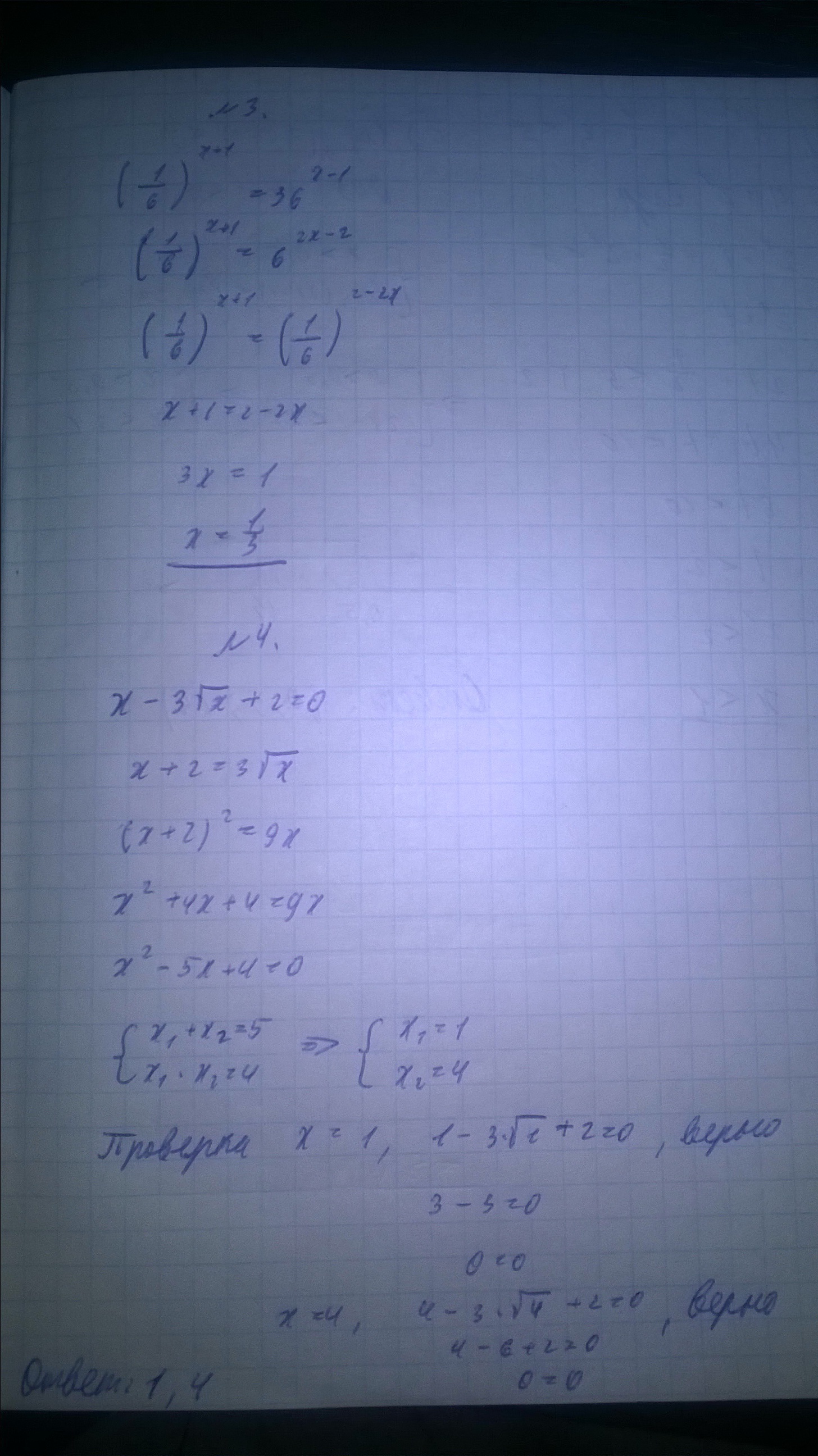
Помогите пожалуйста решить примеры по алгебре, буду признательна очень,прошу!!!

Приложения:

Ответы

Ответ дал: georgefedoseev
0
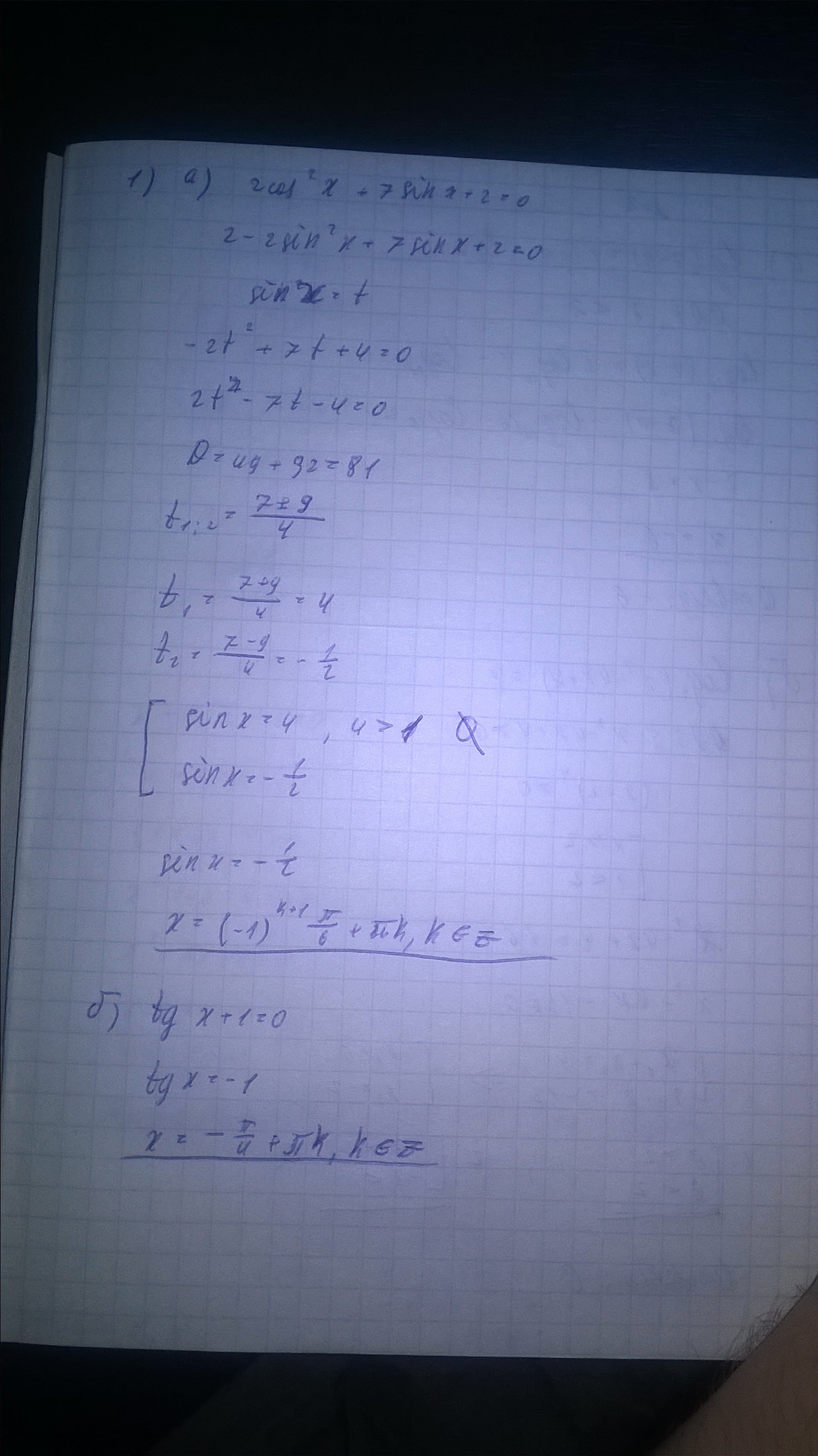
вот пожалуйста,насчет 5 не знаю, но остальное все правильно
Приложения:
Ответ дал: Takumi96
0
спасибо вам огромное!!!
Ответ дал: georgefedoseev
0
Наздоровье)
Вас заинтересует