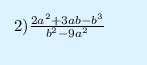
Помогите пожалуйста!Вообще не понимаю что здесь делать,объясните как в дальнейшем такие задачи решать? a=3 , b=1
Приложения:

Ответы
Ответ дал:
0
Сразу можно вместо а и b подставить их значения, данные в условии.
Получишь в числителе 2*9+3*3*1-1=18+9-1=26
в знаменателе 1-9*9=1-81=-80
Получили дробь -26/80 или -13/40
Получишь в числителе 2*9+3*3*1-1=18+9-1=26
в знаменателе 1-9*9=1-81=-80
Получили дробь -26/80 или -13/40
Ответ дал:
0
Спасибо большое!
Вас заинтересует
2 года назад
2 года назад
7 лет назад
9 лет назад
9 лет назад