• Предмет: Алгебра
  • Автор: Kris454
  • Вопрос задан 10 лет назад

кто может решить уравнение?

Приложения:

Ответы

Ответ дал: kmike21
0
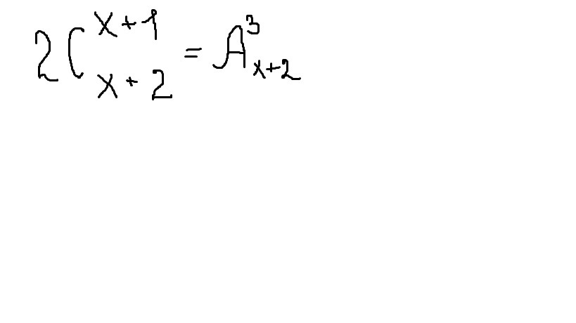
C^{x+1}_{x+2}= frac{(x+2)!}{((x+2)-(x+1))!(x+1)!}=frac{(x+2)!}{(1)!(x+1)!}=frac{(x+1)!(x+2)}{(x+1)!} =x+2
A^3_{x+2}= frac{(x+2)!}{(x+2-3)!}= frac{(x+2)!}{(x-1)!}=frac{(x-1)!x(x+1)(x+2)}{(x-1)!}=x(x+1)(x+2)
получаем
2(x+2)=x(x+1)(x+2)
x=-2 отбрасываем
2=x(x+1)
x²+x-2=0
D=1²+4*2=9
√D=3
x₁=(-1-3)/2=-2 отбрасываем
x₂=(-1+3)/2=1
Ответ x=1
Ответ дал: Kris454
0
спасибо огромнейшее!
Ответ дал: Kris454
0
а почему там 2(x+2),а не просто (x+2)?
Ответ дал: kmike21
0
С=x+2 а в уравнении 2С=А
Вас заинтересует