• Предмет: Алгебра
  • Автор: fane4qa
  • Вопрос задан 10 лет назад

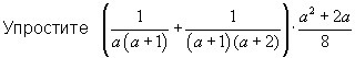
Помогите решить задачу =)

Приложения:

Ответы

Ответ дал: vikasedaya
0
a+2+a деленное на (a+1)(a+2)=2a+2 деленное на a(a+1)(a+2)= 2(a+1) деленное на a(a+1)(a+2)=2 деленное на a^2+2a*a^2=2a деленное на 8=1деленное на 4
Вас заинтересует