• Предмет: Алгебра
  • Автор: КаРиНа03
  • Вопрос задан 10 лет назад

!!!!!!!!!!!!!!!!!!!!!!!!!!!!!!!!!!!!

Приложения:

Ответы

Ответ дал: sedinalana
0
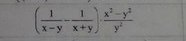
1/(x-y)-1/(x+y)=(x+y-x+y)/(x²-y²)=2y/(x²-y²)
2)2y/(x²-y²)*(x²-y²)/y²=2/y
Ответ дал: Аноним
0
 frac{1}{(x-y)}- frac{1}{(x+y)}= frac{x+y-x+y}{( x^{2} - y^{2}) }= frac{2y}{ x^{2} - y^{2} }
2)  frac{2y}{( x^{2} - y^{2} }* frac{( x^{2} - y^{2}) }{ y^{2} }= frac{2}{y}
Вас заинтересует