• Предмет: Алгебра
  • Автор: Дарина0898
  • Вопрос задан 11 лет назад

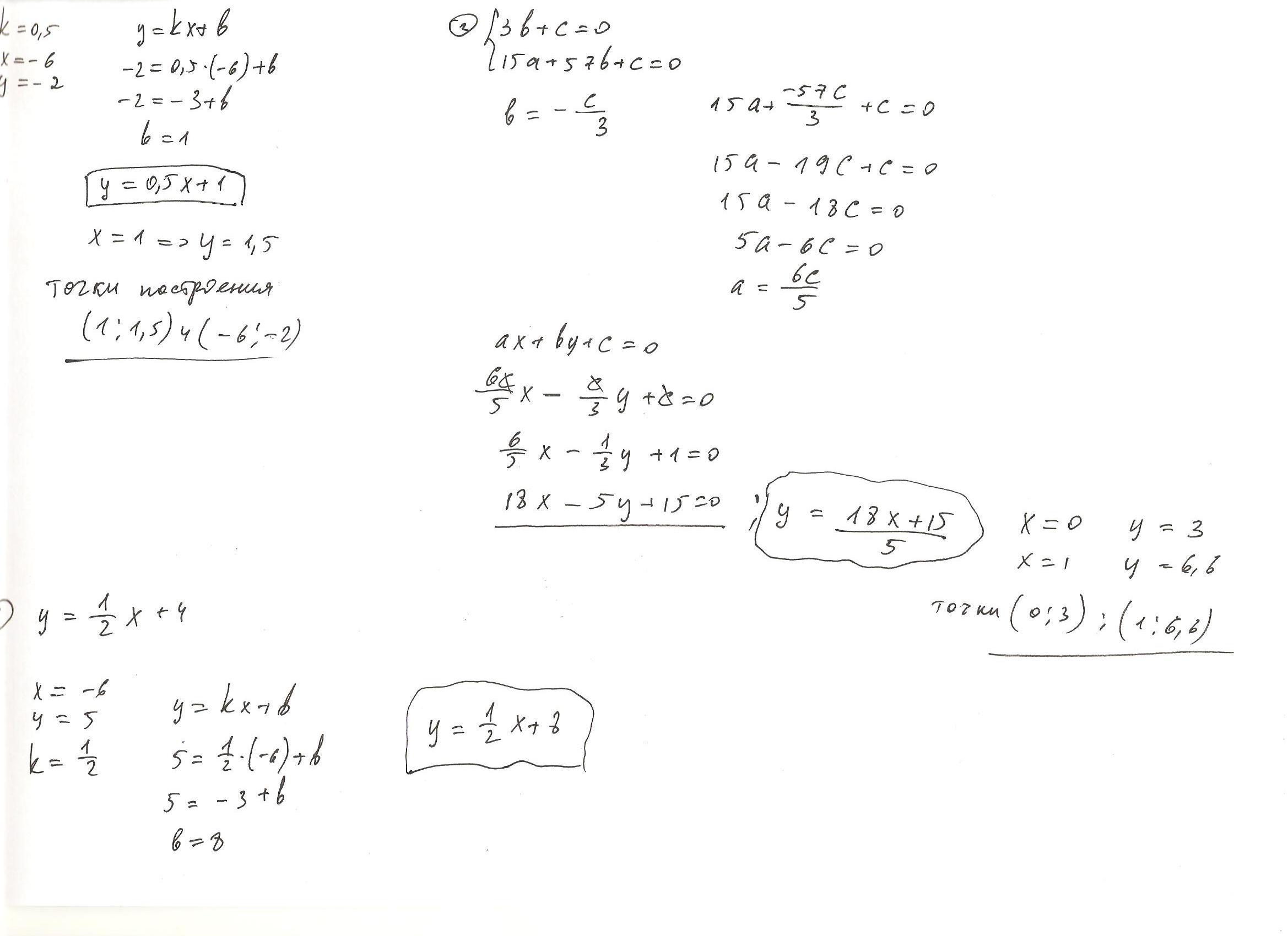
Помогите плиз___*)  Запишите уравнение прямой и постройте её, если известно что: угловой коэффицент прямой равен 0,5 и она  походит через точку (-6,-2)

2) Запишите уравнение прямой  и постройте  эту прямую, если известно что: Прямая пересекает  ось у в точке (0;3) и проходит через точку (15;57)

3)Запишите уравнение прямой параллельной  данной прямой проходящей

через данную точку а: у=-1/2х+4, А(-6;5)

Ответы

Ответ дал: Artem112
0

надеюсь будет понятно....

Приложения:
Вас заинтересует