Ответы
Ответ дал:
0
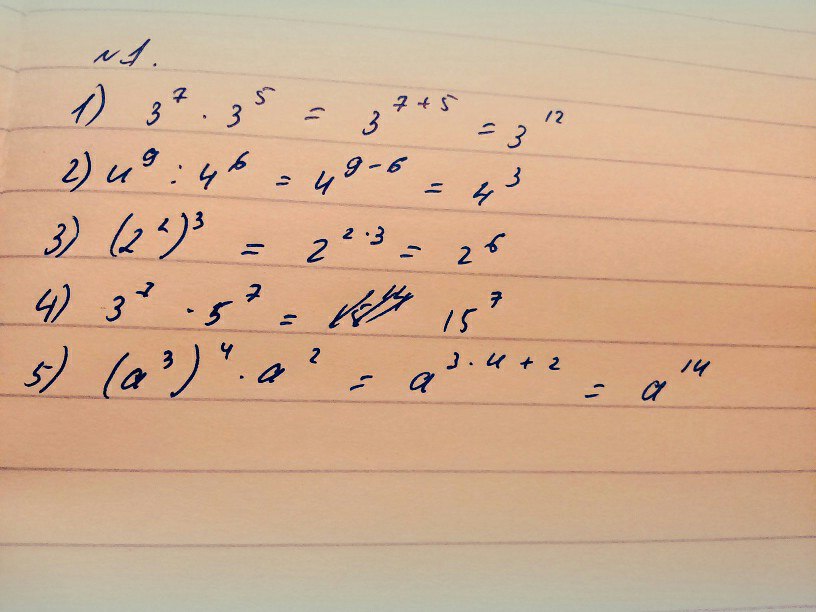
Я не стала возводить в степени, т.к. числа получаются очень большими :)
Приложения:

Ответ дал:
0
а их надо возводить степень? вы мне 2 раз помогли))))))
Ответ дал:
0
скорее всего нет, т.к числа довольно большие. Вот 3^12= 531441 и 15^7 = 170859375, а 2^6 ( = 64 ) и 4^3 ( = 64 ) можно посчитать. Смотри сам :) . Я всегда рада помочь :))
Вас заинтересует
2 года назад
2 года назад
9 лет назад
9 лет назад
10 лет назад