• Предмет: Алгебра
  • Автор: Каин3282
  • Вопрос задан 10 лет назад

Помогите пожалуйста! Очень срочно

Приложения:

Ответы

Ответ дал: irinan2014
0
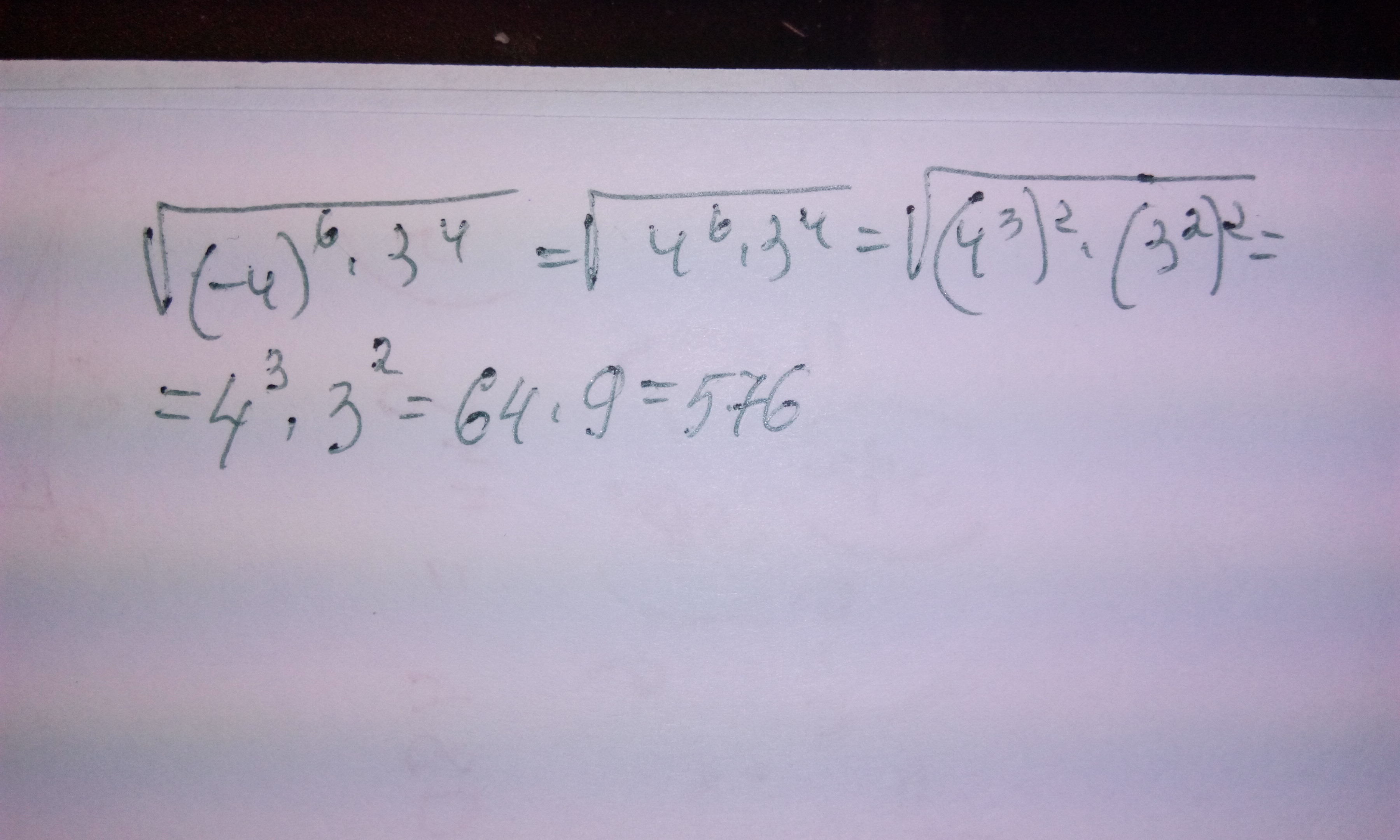
Всё подробно написала в решении.
Приложения:
Вас заинтересует