Ответы
Ответ дал:
0
Решение смотри во вложениях!
Приложения:

Ответ дал:
0
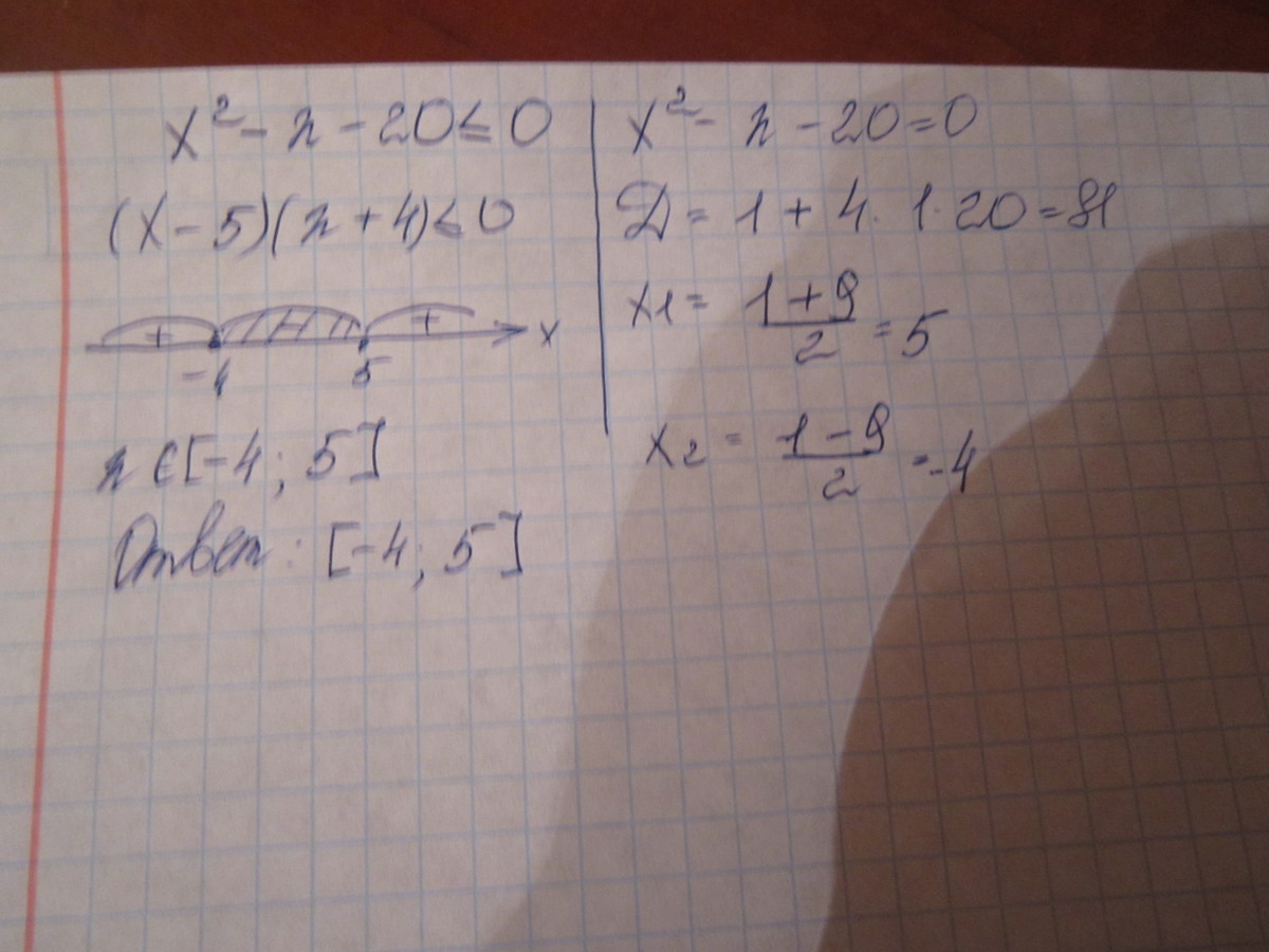
как квадратное уравнение сначала
D=(-1)^2-4*(-20) = 1+80=81
x1=1+92=5 x2=1-92=-4
потом отмечаешь на отрезке x и выбираешь нужный промежуток в зависимости от знака неравенства
Приложения:

Вас заинтересует
2 года назад
2 года назад
8 лет назад
10 лет назад
10 лет назад