Ответы
Ответ дал:
0
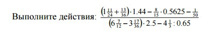
в числителе:
1) 1 11/14+ 13/36=2 37/252
2) 2 37/252 ×1,44= 3 16/175
3) 8/15×0,5625= 3/10
4) 3 16/175 - 3/10= 2 277/350
5) 2 277/350 - 1/50= 2 27/35
в знаменателе:
1) 6 7/12 - 3 17/36= 3 1/9
2) 3 1/9×2,5=7 7/9
3)4 1/3 ÷ 0,65= 6 2/3
4) 7 7/9 - 6 2/3= 1 1/9
2 27/35÷ 1 1/9= 2 173/350
1) 1 11/14+ 13/36=2 37/252
2) 2 37/252 ×1,44= 3 16/175
3) 8/15×0,5625= 3/10
4) 3 16/175 - 3/10= 2 277/350
5) 2 277/350 - 1/50= 2 27/35
в знаменателе:
1) 6 7/12 - 3 17/36= 3 1/9
2) 3 1/9×2,5=7 7/9
3)4 1/3 ÷ 0,65= 6 2/3
4) 7 7/9 - 6 2/3= 1 1/9
2 27/35÷ 1 1/9= 2 173/350
Ответ дал:
0
ответ не сходится( он должен быть 2.07
Ответ дал:
0
ну перепроверь мои решения еще раз, я же по действиям расптсала
Ответ дал:
0
я нашла ошибку
Ответ дал:
0
в числителе:
1) 1 11/24+ 13/36=1 59/72
2) 1 59/72 ×1,44= 2.62
3) 8/15×0,5625= 3/10
4) 2.62 - 3/10= 2.32
5) 2.32 - 1/50= 2.3
в знаменателе:
1) 6 7/12 - 3 17/36= 3 1/9
2) 3 1/9 × 2,5=7 7/9
3)4 1/3 ÷ 0,65= 6 2/3
4) 7 7/9 - 6 2/3= 1 1/9
2.3 ÷ 1 1/9= 2.07
1) 1 11/24+ 13/36=1 59/72
2) 1 59/72 ×1,44= 2.62
3) 8/15×0,5625= 3/10
4) 2.62 - 3/10= 2.32
5) 2.32 - 1/50= 2.3
в знаменателе:
1) 6 7/12 - 3 17/36= 3 1/9
2) 3 1/9 × 2,5=7 7/9
3)4 1/3 ÷ 0,65= 6 2/3
4) 7 7/9 - 6 2/3= 1 1/9
2.3 ÷ 1 1/9= 2.07
Ответ дал:
0
знаменатель я правельно посчитала
Вас заинтересует
2 года назад
7 лет назад
7 лет назад
10 лет назад
10 лет назад