• Предмет: Геометрия
  • Автор: sashasiluk
  • Вопрос задан 10 лет назад

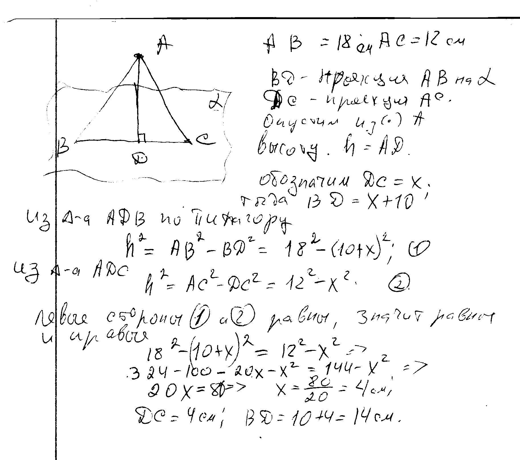
з точки а до площини альфа проведено похилі ав і ас довжиною 12 см і 18 см. Знайдіть довжини проекції похилих, якщо одна з них на 10см більше другої

Ответы

Ответ дал: ужнеужели
0
решение в скане.. удачи.
Приложения:
Вас заинтересует