• Предмет: Математика
  • Автор: ruzakovammm
  • Вопрос задан 10 лет назад

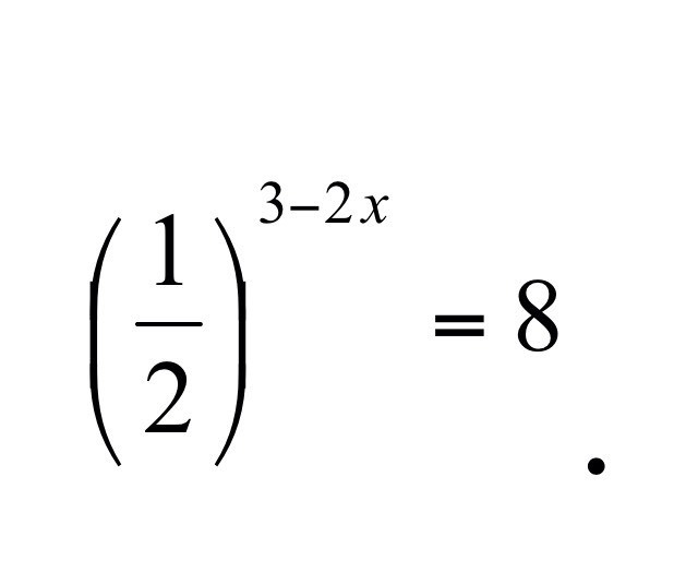
Найдите корень уравнения

Приложения:

Ответы

Ответ дал: NNNLLL54
0
(frac{1}{2})^{3-2x}=8\\2^{2x-3}=2^3\\2x-3=3\\2x=6\\x=3
Вас заинтересует