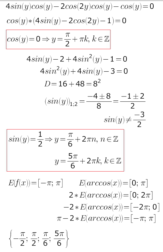
a) решиие уравнение 2sin2y-2cos2ycosy=cosy
б) найдите все корни этого уравнения, принадлежащие множеству значений функции f(x) = π - 2arccosx
Ответы
Ответ дал:
0
а) цель --разложить на множители левую часть равенства, если правая часть равенства -это ноль)))
б) множество значений функции можно записать и неравенством (если так привычнее)))
0 < arccos(x) < pi
0 < 2*arccos(x) < 2*pi (все части неравенства можно умножить на число... поменяв знак, если это число <0)))
0 > -2*arccos(x) > -2pi
-2pi < -2*arccos(x) < 0
pi-2pi < pi-2*arccos(x) < 0+pi (ко всем частям неравенства можно прибавить или отнять число...)))
и осталось сделать отбор...
б) множество значений функции можно записать и неравенством (если так привычнее)))
0 < arccos(x) < pi
0 < 2*arccos(x) < 2*pi (все части неравенства можно умножить на число... поменяв знак, если это число <0)))
0 > -2*arccos(x) > -2pi
-2pi < -2*arccos(x) < 0
pi-2pi < pi-2*arccos(x) < 0+pi (ко всем частям неравенства можно прибавить или отнять число...)))
и осталось сделать отбор...
Приложения:
Вас заинтересует
2 года назад
2 года назад
8 лет назад
8 лет назад
10 лет назад
10 лет назад
10 лет назад
10 лет назад