• Предмет: Геометрия
  • Автор: mandryka2015
  • Вопрос задан 10 лет назад

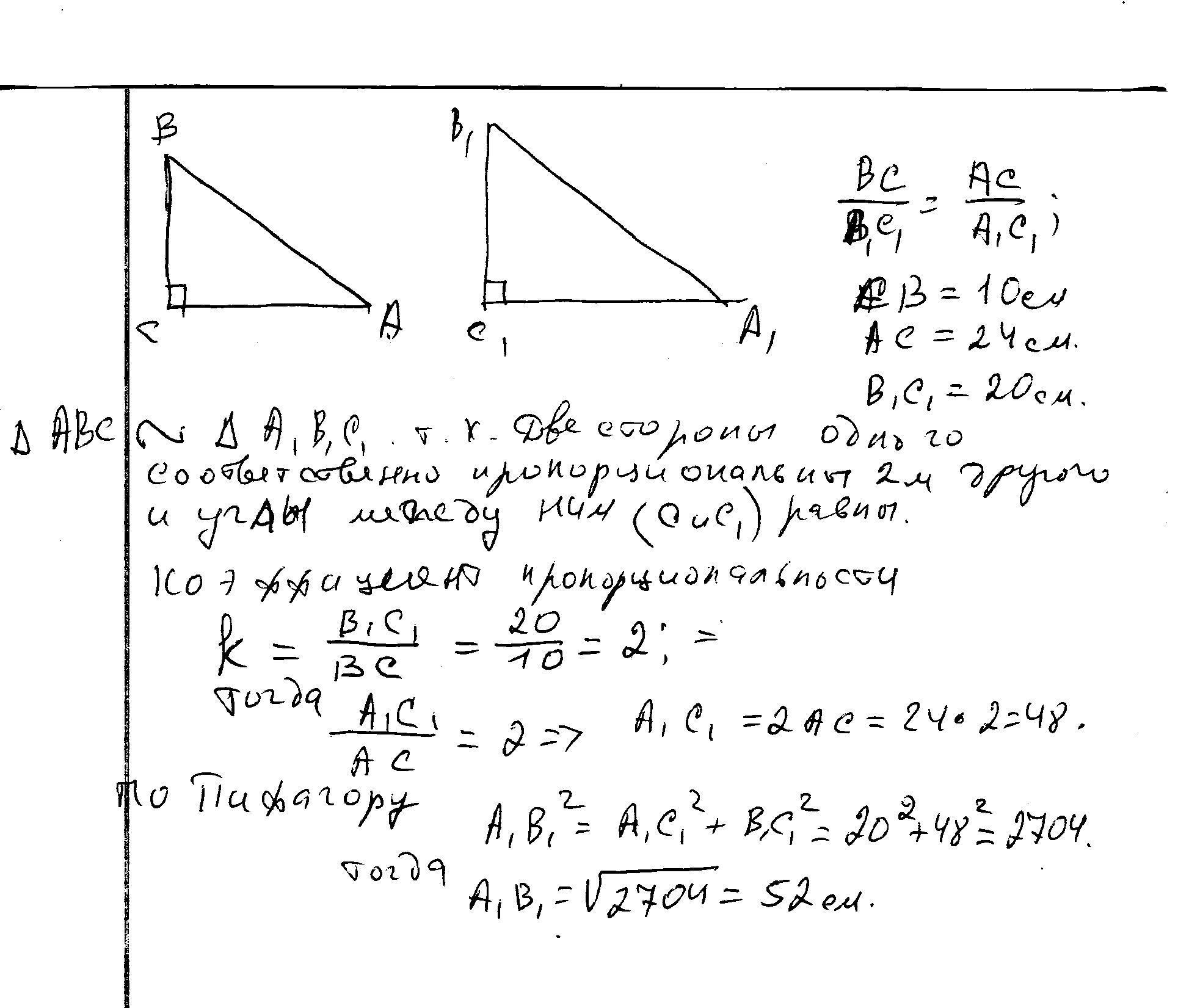
Катети прямокутного трикутника завдовжки 10см і 24см відповідно пропорційні катетам іншого прямокутного трикутника. Знайдіть гіпотенузу другого трикутника якщо його менший катет дорінює 20см

Ответы

Ответ дал: ужнеужели
0
решение в скане............
Приложения:
Ответ дал: mandryka2015
0
спасиб большое
Вас заинтересует