• Предмет: Алгебра
  • Автор: WhiteWoif
  • Вопрос задан 10 лет назад

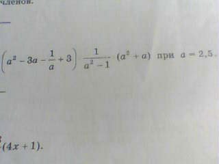
найдите значение выражения

Приложения:

Ответы

Ответ дал: sedinalana
0
1)a²-3a-1/a+3=(a³-3a²-1+3a)/a=(a-1)³/a
2)(a-1)³/a *1/[(a-1)(a+1)]*a(a+1)(a-1)²
a=2,5  (2,5-1)²=1,5²=2,25
Ответ дал: polinasmart
0
(a^2-3a- frac{1}{a}+3  ) frac{1}{a^2-1} (a^2+a)=(a^3-3a^2+3a-1)a(a+1) frac{1}{a(a^2-1)} =
 frac{(a-1)^3(a+1)}{(a-1)(a+1)} = (a-1)^2 = 1.5^2=2.25
Вас заинтересует