• Предмет: Физика
  • Автор: ANNA4998
  • Вопрос задан 10 лет назад

1.Звезда Антарес (а Скорпиона)спектрального класса М имеет светимость L=3*10 в четвертой степени L и температуру Т=3300K .Определите радиус Антареса
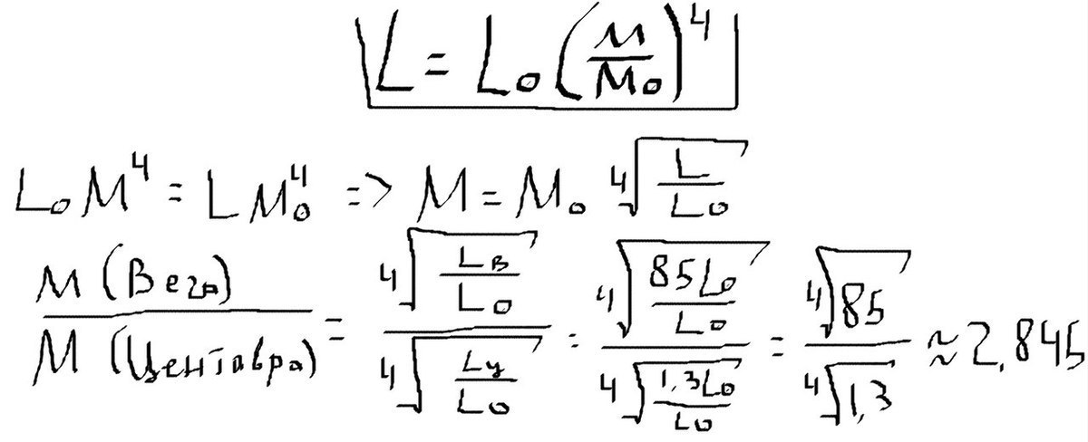
2.Звезды главной последовательности Вега и а Центавра относятся к сректральным классам А и G соответственно .Светимость Веги L=85L а Светимость а Центавра L=1,3L .Чему равно отношение масс этих звезд?

Ответы

Ответ дал: UmbertoVargas
0
____________________________________
Приложения:
Ответ дал: UmbertoVargas
0
Знаю, что не сходятся. Но крайне маловероятно, что я допустил ошибку
Ответ дал: ANNA4998
0
понятно, но все равно большое спасибо
Вас заинтересует