Ответы
Ответ дал:
0
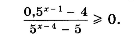
находим нули числителя и знаменателя:

теперь воспользуемся методом интервалов. Неравенство ≥0, значит числитель может равняться нулю (точка закрашенная), а знаменатель дроби никогда не равняется нулю (точка выколотая)
(рис.1)
отв:[-1;5)
теперь воспользуемся методом интервалов. Неравенство ≥0, значит числитель может равняться нулю (точка закрашенная), а знаменатель дроби никогда не равняется нулю (точка выколотая)
(рис.1)
отв:[-1;5)
Приложения:
Вас заинтересует
3 года назад
3 года назад
8 лет назад
8 лет назад
10 лет назад