Ответы
Ответ дал:
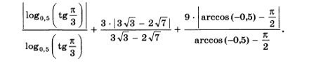
0
tg(π/3)=√3; 0<0.5<1, √3>0 следовательно log₀.₅(√3)<0
получается:

3√3-2√7=√27-√28; √27-√28<0, следовательно:

arccos(-0.5)-π/2=2π/3 - π/2=4π/6 - 3π/6=π/6
π/6>0, следовательно:

-1+3*(-1)+9*1=-1-3+9=5
отв:5
получается:
3√3-2√7=√27-√28; √27-√28<0, следовательно:
arccos(-0.5)-π/2=2π/3 - π/2=4π/6 - 3π/6=π/6
π/6>0, следовательно:
-1+3*(-1)+9*1=-1-3+9=5
отв:5
Вас заинтересует
2 года назад
7 лет назад
7 лет назад
10 лет назад
10 лет назад
10 лет назад