• Предмет: Алгебра
  • Автор: spokets99
  • Вопрос задан 10 лет назад

Очень нужна помощь, решите пожалуйста!

Приложения:

Ответы

Ответ дал: juleeekk
0
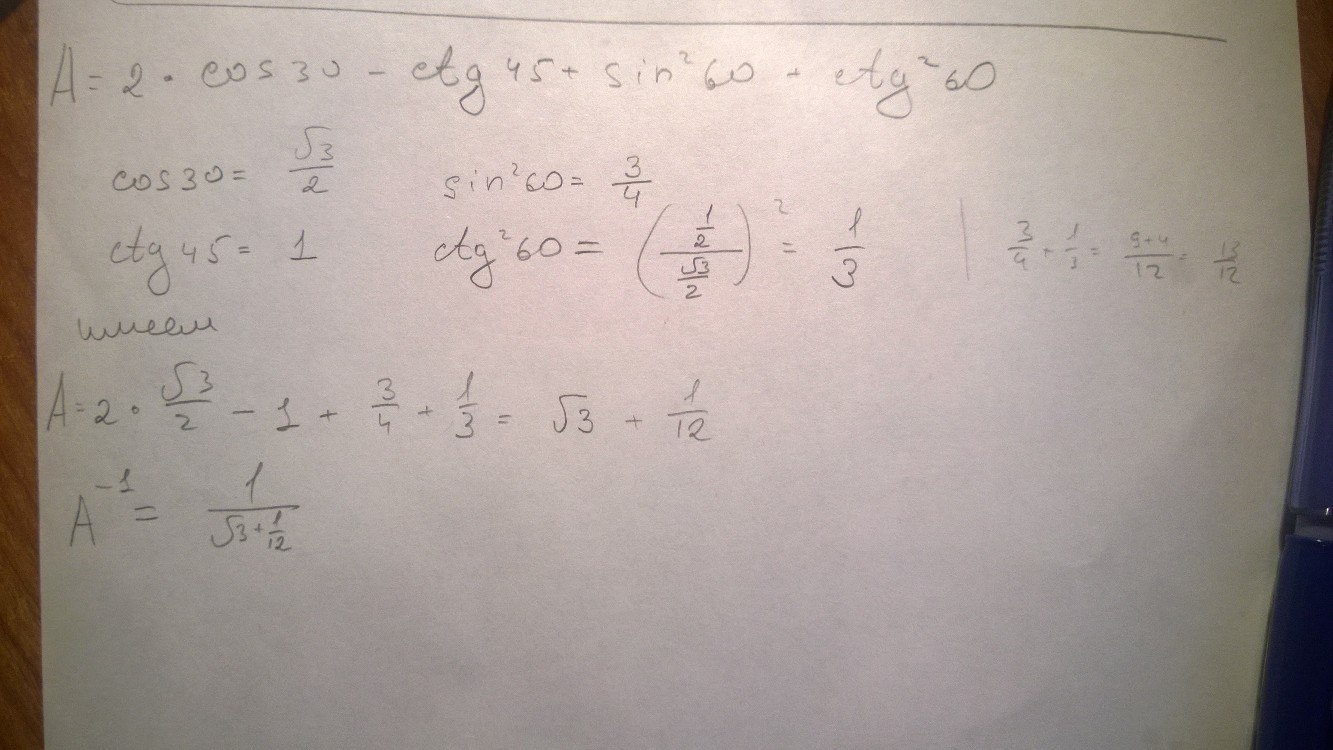
=2*√3/2-1+(√3/2)²+(√3/3)²=√3-1+3/4+3/9  и посчитать
Ответ дал: СмайлПлюс
0
вроде так, а тут еще должно быть 20 знаков, чтобы ответ прошел
Приложения:
Ответ дал: spokets99
0
Спасибо:-D
Вас заинтересует