ПОМОГИТЕ!! 40 БАЛЛОВ!! С рисунком!!!!
ABCDA1B1C1D1 - куб, точки Е и К - середины ребер АD и DС соответственно.
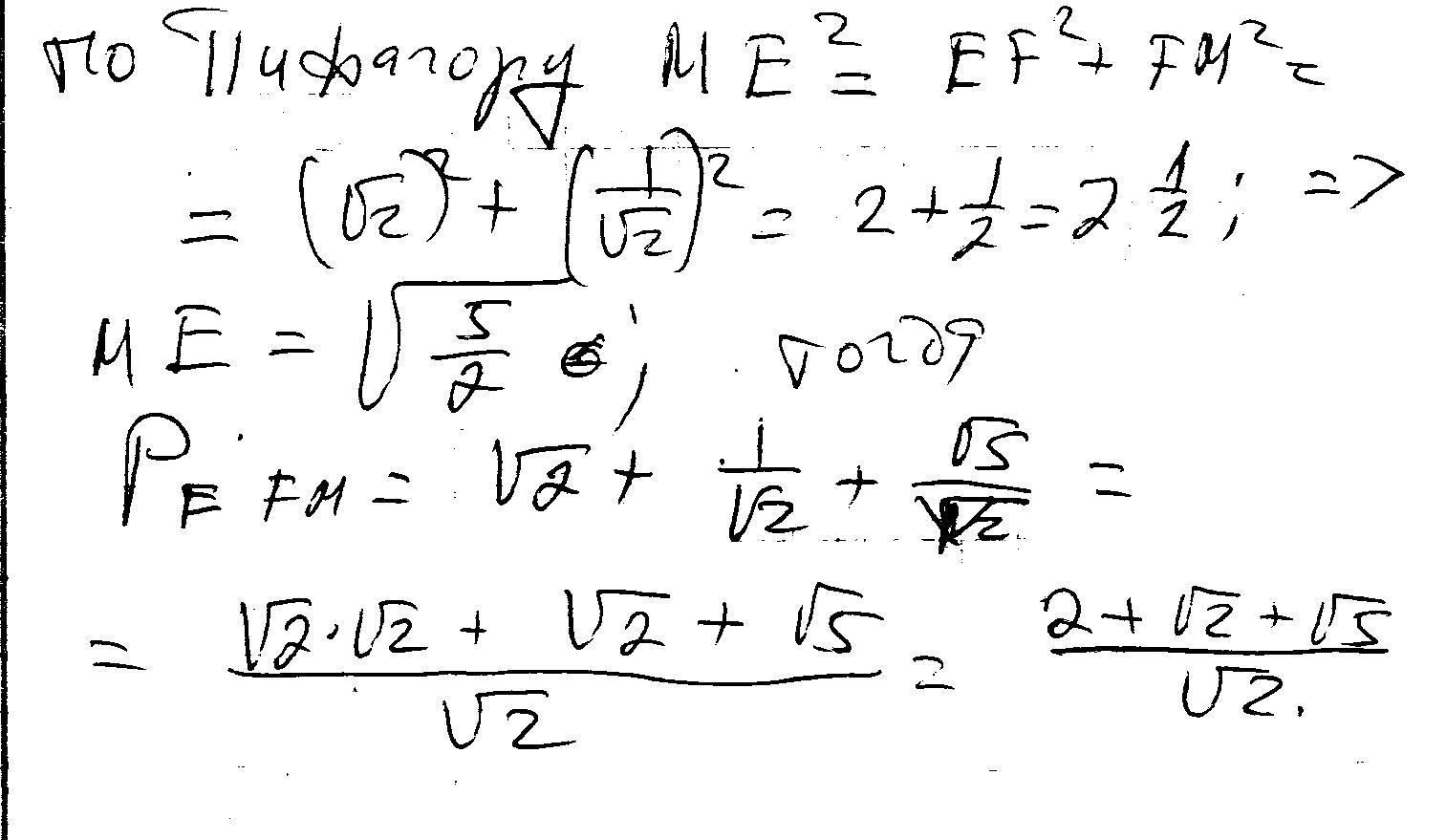
Постройте сечение куба плоскостью, проходящей через прямую КЕ и перпендикулярной плоскости АDС1. Вычислите периметр этого сечения, если длина ребра куба равна 2 см.
Ответы
Ответ дал:
0
Мог ошибиться в арифметике. Не в форме.
Приложения:


Вас заинтересует
2 года назад
2 года назад
7 лет назад
7 лет назад
9 лет назад
9 лет назад
10 лет назад
10 лет назад