• Предмет: Алгебра
  • Автор: авитаор
  • Вопрос задан 10 лет назад

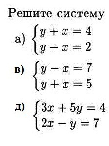
Помогите пожалуйста + решение. Решить графически

Приложения:

Ответы

Ответ дал: настастья
0
............................
Приложения:
Ответ дал: авитаор
0
Спасибо
Вас заинтересует