• Предмет: Алгебра
  • Автор: mishael2015
  • Вопрос задан 10 лет назад

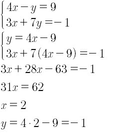
Решите систему уравнений: {4x-y=9
{3x+7y= -1

Ответы

Ответ дал: lukashleshashamnash
0
ооооооооооооооооооооооооооооооооооооооооооооооооо
Ответ дал: SolRu
0
Решение смотрите в вложении
Приложения:
Вас заинтересует